Άλγεβρα (Α΄ Λυκείου) - Βιβλίο Μαθητή (Εμπλουτισμένο)
back next
ΟΙ ΠΡΑΓΜΑΤΙΚΟΙ ΑΡΙΘΜΟΙ Κεφάλαιο
2

2.1 ΟΙ ΠΡΑΞΕΙΣ ΚΑΙ ΟΙ ΙΔΙΟΤΗΤΕΣ ΤΟΥΣ

(Επαναλήψεις - Συμπληρώσεις)

Εισαγωγή

Στο Γυμνάσιο μάθαμε ότι οι πραγματικοί αριθμοί αποτελούνται από τους ρητούς και τους άρρητους αριθμούς και παριστάνονται με τα σημεία ενός άξονα, του άξονα των πραγματικών αριθμών.

p43_axonas

Θυμίζουμε ότι:

  • Κάθε ρητός αριθμός έχει (ή μπορεί να πάρει) κλασματική μορφή, δηλαδή τη μορφή $\frac{α}{β}$, όπου α, β ακέραιοι, με β ≠ 0.
  • Κάθε ρητός αριθμός μπορεί να γραφεί ως δεκαδικός ή περιοδικός δεκαδικός και, αντιστρόφως, κάθε δεκαδικός ή περιοδικός δεκαδικός μπορεί να πάρει κλασματική μορφή. Για παράδειγμα,

$\dfrac{14}{5} = 2,8 , -\dfrac{9}{8} = -1,25 , \dfrac{60}{11} = 5,\overline{45} , 2,25 = \dfrac{225}{100} και 2,\overline{32} = \dfrac{230}{99}$

Μπορούμε δηλαδή να πούμε ότι οι ρητοί αριθμοί αποτελούνται από τους δεκαδικούς και τους περιοδικούς δεκαδικούς αριθμούς.Υπάρχουν όμως και αριθμοί, όπως οι $\sqrt{2}, \sqrt{3}$ π, κτλ., που δεν μπορούν να πάρουν τη μορφή $\dfrac{α}{β}$, όπου α, β ακέραιοι, με β ≠ 0 (ή, με άλλα λόγια, δεν μπορούν να γραφούν ούτε ως δεκαδικοί ούτε ως περιοδικοί δεκαδικοί). Οι αριθμοί αυτοί λέγονται άρρητοι αριθμοί.

Πράξεις

Στους πραγματικούς αριθμούς ορίστηκαν οι πράξεις της πρόσθεσης και του πολλαπλασιασμού και, με τη βοήθειά τους, η αφαίρεση και η διαίρεση.

  • Για την πρόσθεση και τον πολλαπλασιασμό ισχύουν οι ιδιότητες που αναφέρονται στον επόμενο πίνακα, οι οποίες και αποτελούν τη βάση του αλγεβρικού λογισμού.
Ιδιότητα Πρόσθεση Πολλαπλασιασμός
Αντιμεταθετική α + β = β + α αβ = βα
Προσεταιριστική α + (β + γ) = (α + β) + γ α(βγ) = (αβ)γ
Ουδέτερο Στοιχείο α + 0 = α α ·1 = α
Αντίθετος/Αντίστροφος Αριθμού α + (-α) = 0 α · $\dfrac{1}{α}$ = 1, α ≠ 0
Επιμεριστική α( β + γ) = αβ + αγ

 

Στον πίνακα αυτόν, αλλά και στη συνέχεια του βιβλίου, τα γράμματα που χρησιμοποιούνται παριστάνουν οποιουσδήποτε πραγματικούς αριθμούς , εκτός αν δηλώνεται διαφορετικά.
Ο αριθμός 0 λέγεται και ουδέτερο στοιχείο της πρόσθεσης, διότι προστιθέμενος σε οποιονδήποτε αριθμό δεν τον μεταβάλλει. Επίσης ο αριθμός 1 λέγεται και ουδέτερο στοιχείο του πολλαπλασιασμού, διότι οποιοσδήποτε αριθμός πολλαπλασιαζόμενος με αυτόν δεν μεταβάλλεται.

ΣΧΟΛΙΟ

Η αντιμεταθετική και η προσεταιριστική ιδιότητα της πρόσθεσης έχουν ως συνέπεια, κάθε άθροισμα με περισσότερους από δυο προσθετέους, να ισούται με οποιοδήποτε άλλο άθροισμα που σχηματίζεται από τους ίδιους αριθμούς με οποιαδήποτε σειρά και αν τους πάρουμε. Για παράδειγμα,

$-3 + 2 + \sqrt{2} + 3 - \sqrt{2} + 5 - 2 = -3 + 3 + 2 - 2 + 5 + \sqrt{2} - \sqrt{2} = 5$

Ομοίως, ένα γινόμενο με περισσότερους από δυο παράγοντες ισούται με οποιοδήποτε άλλο γινόμενο που μπορεί να σχηματισθεί από τους ίδιους αριθμούς με οποιαδήποτε σειρά και αν τους πάρουμε.
Για παράδειγμα,

$(-3)\left(-\dfrac{2}{5}\right)\left(-\dfrac{1}{3}\right)(-6)4\left(-\dfrac{5}{2}\right) = (-3)\left(-\dfrac{1}{3}\right)\left(-\dfrac{2}{5}\right)\left(-\dfrac{5}{2}\right)(-6)4 = -24.$

(Η απόδειξη των παραπάνω ισχυρισμών είναι αρκετά πολύπλοκη και παραλείπεται).


  • Η αφαίρεση και η διαίρεση ορίζονται με τη βοήθεια της πρόσθεσης και του πολλαπλασιασμού αντιστοίχως ως εξής:


α - β = α + (-β)    και    $α : β = \dfrac{α}{β} = α \cdot \dfrac{1}{β}$    $(β \neq 0)$

Δηλαδή:
Για να βρούμε τη διαφορά α - β , προσθέτουμε στο μειωτέο τον αντίθετο του αφαιρετέου, ενώ για να βρούμε το πηλίκο $\dfrac{α}{β}$, με β ≠ 0 , πολλαπλασιάζουμε το διαιρετέο με τον αντίστροφο του διαιρέτη.

ΣΗΜΕΙΩΣΗ

Επειδή διαίρεση με διαιρέτη το μηδέν δεν ορίζεται, όπου στο εξής συναντάμε το πηλίκο $\dfrac{α}{β}$, εννοείται ότι β ≠ 0 και δεν θα τονίζεται ιδιαίτερα.

  • Για τις τέσσερις πράξεις και την ισότητα ισχύουν και οι ακόλουθες ιδιότητες που είναι γνωστές από το Γυμνάσιο:
1. (α = β και γ = δ )⇒ α + γ = β + δ

δηλαδή, δυο ισότητες μπορούμε να τις προσθέσουμε κατά μέλη.

2. (α = β και γ = δ) ⇒ αγ = βδ

δηλαδή, δυο ισότητες μπορούμε να τις πολλαπλασιάσουμε κατά μέλη.

3. α = β ⇔ α + γ = β + γ

δηλαδή, μπορούμε και στα δυο μέλη μιας ισότητας να προσθέσουμε ή να αφαιρέσουμε τον ίδιο αριθμό.

4. Αν γ ≠ 0, τότε: α = β ⇔ αγ = βγ

δηλαδή, μπορούμε και τα δυο μέλη μιας ισότητας να τα πολλαπλασιάσουμε ή να τα διαιρέσουμε με τον ίδιο μη μηδενικό αριθμό.

5. α · β = 0 ⇔ α = 0 ή β = 0

δηλαδή, το γινόμενο δύο πραγματικών αριθμών είναι ίσο με το μηδέν, αν και μόνο αν ένας τουλάχιστον από τους αριθμούς είναι ίσος με το μηδέν.
Άμεση συνέπεια της ιδιότητας αυτής είναι η ακόλουθη:

α · β ≠ 0 ⇔ α ≠ 0 και β ≠ 0

ΣΧΟΛΙΟ

Όταν από την ισότητα α + γ = β + γ ή από την ισότητα α · γ = β · γ μεταβαίνουμε στην ισότητα α = β, τότε λέμε ότι διαγράφουμε τον ίδιο προσθετέο ή τον ίδιο παράγοντα αντιστοίχως. Όμως στην περίπτωση που διαγράφουμε τον ίδιο παράγοντα πρέπει να ελέγχουμε μήπως ο παράγοντας αυτός είναι ίσος με μηδέν, οπότε ενδέχεται να οδηγηθούμε σε λάθος, όπως συμβαίνει στο ακόλουθο παράδειγμα.
Έστω α = 1. Τότε έχουμε διαδοχικά:

α = 1
α · α = α · 1
α2 = α
α2 - 1 = α -1
(α + 1)(α - 1) = (α - 1) · 1
α + 1 = 1
α = 0

Όμως έχουμε και α = 1, οπότε το 1 θα είναι ίσο με το 0. Οδηγηθήκαμε στο λανθασμένο αυτό συμπέρασμα, διότι στην ισότητα

(α + 1)(α - 1) = (α - 1) · 1

διαγράψαμε τον παράγοντα (α - 1) ο οποίος, λόγω της υπόθεσης, ήταν ίσος με μηδέν.

Δυνάμεις

Είναι γνωστή από το Γυμνάσιο η έννοια της δύναμης αριθμού με εκθέτη ακέραιο. Συγκεκριμένα, αν ο α είναι πραγματικός αριθμός και ο ν φυσικός, έχουμε ορίσει ότι:

$α^ν = \underbrace{α\cdot α\cdots α \cdot α}_{v\text{παράγοντες}}$    για ν > 1 και


α1 = α,     για ν = 1.

Αν επιπλέον είναι α ≠ 0, τότε ορίσαμε ότι:
α0 = 1    και    $α^{-ν} = \dfrac{1}{α^ν}$

ΣΧΟΛΙΟ

Ενώ είναι φανερό ότι, αν α = β, τότε αν = βν, δεν ισχύει το αντίστροφο, αφού για παράδειγμα είναι (-2)2 = 22, αλλά -2 ≠ 2.


Στον επόμενο πίνακα συνοψίζονται οι ιδιότητες των δυνάμεων με εκθέτη ακέραιο, με την προϋπόθεση ότι κάθε φορά ορίζονται οι δυνάμεις και οι πράξεις που σημειώνονται.

$α^κ \cdot α^λ = α^{κ + λ}$

  $\dfrac{α^κ}{α^λ} = α^{κ-λ}$

$α^κ \cdot β^κ = (αβ)^κ$

  $\dfrac{α^κ}{β^κ} = \left(\dfrac{α}{β}\right)^κ$

$(α^κ)^λ = α^{κλ}$

Αξιοσημείωτες ταυτότητες

Η έννοια της ταυτότητας είναι γνωστή από το Γυμνάσιο. Συγκεκριμένα, κάθε ισότητα που περιέχει μεταβλητές και επαληθεύεται για όλες τις τιμές των μεταβλητών αυτών λέγεται ταυτότητα.
Στον πίνακα που ακολουθεί αναφέρονται οι γνωστές μας πιο αξιοσημείωτες ταυτότητες:

(α + β )2 = α2 + 2αβ + β2

(α - β)2 = α2 - 2αβ + β2

α2 - β2 = ( α + β ) · ( α - β )

(α + β )3 = α3 + 3α2 β + 3αβ2 + β3

(α - β)3 = α3 - 3α2β + 3αβ2 - β3

α3 + β3 =(α + β ) · (α2 - αβ + β2)

α3 - β3 =( α - β ) · ( α2 + αβ + β2)

(α + β + γ )2 = α2 + β2 + γ2 + 2αβ + 2βγ + 2γα
Μικροπείραμα μικροπείραμα

Μέθοδοι απόδειξης

1η) Ευθεία Απόδειξη

Έστω ότι για τρεις πραγματικούς αριθμούς α, β και γ ισχύει η συνθήκη α + β + γ = 0 και θέλουμε να αποδείξουμε ότι α3 + β3 + γ3 = 3αβγ, δηλαδή έστω ότι θέλουμε να αποδείξουμε τη συνεπαγωγή:

« Αν α + β + γ = 0, τότε α3 + β3 + γ3 = 3αβγ ».

Επειδή α + β + γ = 0, είναι α = -(β + γ) , οπότε θα έχουμε:

α3 + β3 + γ3 = [-(β + γ)]3 + β3 + γ3
   = - (β + γ )3 + β3 + γ3
   = -β3 - 3β2γ - 3βγ2 - γ3 + β3 + γ3
   = - 3β2γ - 3βγ2
   = -3βγ(β + γ)
   = 3αβγ,      (αφού β + γ = -α).
Για την απόδειξη της παραπάνω συνεπαγωγής ξεκινήσαμε με την υπόθεση α + β + γ = 0 και με διαδοχικά βήματα καταλήξαμε στο συμπέρασμα α3 + β3 + γ3 = 3αβγ . Μια τέτοια διαδικασία λέγεται ευθεία απόδειξη.

ΣΧΟΛΙΑ

1o) Ευθεία απόδειξη χρησιμοποιήσαμε και στο Γυμνάσιο για την απόδειξη των γνωστών μας ταυτοτήτων. Για παράδειγμα, για την απόδειξη της ταυτότητας (α + β )2 = α2 + 2αβ + β2, με α,β $\in$ ℝ, έχουμε διαδοχικά:

(α + β)2 = (α + β)(α + β)     [Ορισμός δύναμης]
    = α (α + β) + β (α + β)     [Επιμεριστική ιδιότητα ]
    = α2 + αβ + βα + β2     [Επιμεριστική ιδιότητα ]
    = α2 + 2αβ + β2     [Αναγωγή όμοιων όρων]
2o) Για να αποδείξουμε ότι ένας ισχυρισμός είναι αληθής, μερικές φορές με διαδοχικούς μετασχηματισμούς καταλήγουμε σε έναν λογικά ισοδύναμο ισχυρισμό που είναι αληθής. Έτσι συμπεραίνουμε ότι και ο αρχικός ισχυρισμός είναι αληθής.

Για παράδειγμα, έστω ότι για τους πραγματικούς αριθμούς α, β, x, y θέλουμε να αποδείξουμε την ταυτότητα:

2 + β2)(x2 + y2) = (αx + βy)2 + (αy - βx)2

Έχουμε διαδοχικά:
2 + β2)( x2 + y2) = (αx + βy)2 + (αy - βx)2

⇔ α2x2 + α2y2 + β2x2 + β2y2 = α2x2 + 2αβxy + β2y2 + α2y2 - 2αβxy + β2x2

⇔ α2x2 + α2y2 + β2x2 + β2y2 = α2x2 + α2y2 + β2x2 + β2y2, που ισχύει.

3ο) Για να αποδείξουμε ότι ένας ισχυρισμός δεν είναι πάντα αληθής, αρκεί να βρούμε ένα παράδειγμα για το οποίο ο συγκεκριμένος ισχυρισμός δεν ισχύει ή, όπως λέμε, αρκεί να βρούμε ένα αντιπαράδειγμα. Έτσι ο ισχυρισμός

«για κάθε α > 0 ισχύει α2 > α »

δεν είναι αληθής, αφού για $α = \dfrac{1}{2}$ έχουμε $α^2 = \dfrac{1}{4}$ , δηλαδή α2 < α .

 

2η) Μέθοδος της Απαγωγής σε Άτοπο

Έστω ότι θέλουμε να αποδείξουμε τον ισχυρισμό:
«Αν το τετράγωνο ενός ακεραίου αριθμού είναι άρτιος, τότε και ο αριθμός αυτός είναι άρτιος»,δηλαδή

«Αν ο α2 είναι άρτιος αριθμός, τότε και ο α είναι άρτιος αριθμός»

Για την απόδειξη του ισχυρισμού αυτού σκεπτόμαστε ως εξής:
Έστω ότι ο α δεν είναι άρτιος. Τότε ο α θα είναι περιττός, δηλαδή θα έχει τη μορφή α = 2κ + 1, όπου κ ακέραιος, οπότε θα έχουμε:

α2 = ( 2κ + 1)2
   = 4κ2 + 4κ + 1
   = 2(2κ2 + 2κ) + 1
   = 2λ + 1      (όπου λ = 2κ2 + 2κ).


Δηλαδή α2 = 2λ + 1, λ $\in$ ℤ, που σημαίνει ότι ο α2 είναι περιττός. Αυτό όμως έρχεται σε αντίθεση με την υπόθεση ότι ο α2 είναι άρτιος. Επομένως, η παραδοχή ότι α δεν είναι άρτιος είναι λανθασμένη. Άρα ο α είναι άρτιος.

Στην παραπάνω απόδειξη υποθέσαμε ότι δεν ισχύει αυτό που θέλαμε να αποδείξουμε και χρησιμοποιώντας αληθείς προτάσεις φθάσαμε σε ένα συμπέρασμα που έρχεται σε αντίθεση με αυτό που γνωρίζουμε ότι ισχύει. Οδηγηθήκαμε όπως λέμε σε άτοπο.

Η μέθοδος αυτή απόδειξης χρησιμοποιήθηκε για πρώτη φορά από τους Αρχαίους Έλληνες και λέγεται απαγωγή σε άτοπο.

ΕΦΑΡΜΟΓΕΣ

1. Να αποδειχθούν οι εξής ιδιότητες των αναλογιών:

i) $\dfrac{α}{β}$ = $\dfrac{γ}{δ}$ ⇔ αδ = βγ    (εφόσον βδ ≠ 0)

ii) $\dfrac{α}{β}$ = $\dfrac{γ}{δ}$ ⇔ $\dfrac{α}{γ}$ = $\dfrac{β}{δ}$     (εφόσον βγδ ≠ 0)

iii) $\dfrac{α}{β}$ = $\dfrac{γ}{δ}$ ⇔ $\dfrac{α + β}{β}$ = $\dfrac{γ + δ}{δ}$   (εφόσον βδ ≠ 0)

iv) $\dfrac{α}{β}$ = $\dfrac{γ}{δ}$ ⇔ $\dfrac{α}{β}$ = $\dfrac{γ}{δ}$ = $\dfrac{α + γ}{β + δ}$⇔   (εφόσον βδ(β + δ) ≠ 0)

 

ΑΠΟΔΕΙΞΗ

i) Για βδ ≠ 0 έχουμε:

    $\dfrac{α}{β}$ = $\dfrac{γ}{δ}$ ⇔ $βδ \cdot \dfrac{α}{β}$ ⇔ αδ = βδ.

ii) Για βγδ ≠ 0 έχουμε:

    $\dfrac{α}{β}$ = $\dfrac{γ}{δ}$ ⇔ αδ = βγ ⇔ $\dfrac{αδ}{γδ}$ = $\dfrac{βγ}{γδ}$ ⇔ $\dfrac{α}{γ}$ = $\dfrac{β}{δ}$.

iii) Για βδ ≠ 0 έχουμε:

    $\dfrac{α}{β}$ = $\dfrac{γ}{δ}$ ⇔ $\dfrac{α}{β} + 1$ = $\dfrac{γ}{δ} + 1$ ⇔ $\dfrac{α + β}{β}$ = $\dfrac{γ + δ}{δ}$.

iν) Για βδ (β + δ) ≠ 0, αν θέσουμε $\dfrac{α}{β}$ = $\dfrac{γ}{δ}$ = λ, έχουμε:
    α = λβ και γ = λδ, οπότε α + γ = λ(β + δ).

    Επομένως, $λ = \dfrac{α + γ}{β + δ}$ , δηλαδή $\dfrac{α}{β}$ = $\dfrac{γ}{δ}$ = $\dfrac{α + γ}{β + δ}$.

2. Να αποδειχθεί ότι ο αριθμός $\sqrt{2}$ είναι άρρητος. Στη συνέχεια, με τη χρήση του κανόνα και του διαβήτη, να παρασταθούν οι $\sqrt{2}$ και - $\sqrt{2}$ στον άξονα των πραγματικών αριθμών.

ΑΠΟΔΕΙΞΗ

Έστω ότι ο $\sqrt{2}$ είναι ρητός. Τότε μπορούμε να γράψουμε $\sqrt{2}$ = $\dfrac{κ}{λ}$ όπου κ, λ είναι φυσικοί αριθμοί και $\dfrac{κ}{λ}$ ανάγωγο κλάσμα (δηλαδή κλάσμα στο οποίο έχουν γίνει όλες οι δυνατές απλοποιήσεις). Τότε έχουμε διαδοχικά:

$(\sqrt{2})^2 = \left(\dfrac{κ}{λ}\right)^2$

$2 = \dfrac{κ^2}{λ^2}$

$κ^2 = 2λ^2$

που σημαίνει ότι ο κ2 είναι άρτιος, οπότε (σελ. 49) και ο κ είναι άρτιος, δηλαδή είναι της μορφής κ = 2μ.
Τότε έχουμε διαδοχικά:

κ2 = 2λ2
(2μ)2 = 2λ2
2 = 2λ2
λ2 = 2μ2

Που σημαίνει ότι ο λ2 είναι άρτιος, άρα και ο λ είναι άρτιος.

Αφού λοιπόν οι κ, λ είναι άρτιοι, το κλάσμα $\dfrac{κ}{λ}$ δεν είναι ανάγωγο (άτοπο).

pic031

Στο σημείο Α του πραγματικού άξονα που παριστάνει τον αριθμό 1 υψώνουμε κάθετο τμήμα ΑΒ με μήκος 1. Τότε η υποτείνουσα του ορθογωνίου τριγώνου ΟΑΒ έχει μήκος ίσο με $\sqrt{2}$ . Στη συνέχεια με κέντρο το Ο και ακτίνα ΟΒ = $\sqrt{2}$ γράφουμε κύκλο ο οποίος τέμνει τον άξονα x΄x στα σημεία Μ και M΄ που παριστάνουν τους αριθμούς $\sqrt{2}$ και -$\sqrt{2}$ αντιστοίχως.

Μικροπείραμα πείραμα

ΑΣΚΗΣΕΙΣ Α' ΟΜΑΔΑΣ
1.

Δίνεται η παράσταση

$Α = [(x^2y^3)^{-2} \cdot (xy^3)^4] : \left(\dfrac{x^3}{y^{-1}}\right)^{-3}$.

i) Να δείξετε ότι Α = x9 · y9
ii) Να βρείτε την τιμή της παράστασης για x = 2010 και $y = \dfrac{1}{2010}$.

2.

Να βρείτε την τιμή της παράστασης $A = [(xy^{-1})^2 : (x^3y^7)^{-1}]^2$ για x = 0,4 και y = - 2,5.

3.

Να υπολογίσετε τις παραστάσεις :
i) 10012 - 9992          ii) 99   · 101        iii) $\frac{(7,23)^2 - (4,23)^2}{11,46}$.

4.

i) Να δείξετε ότι (α + β)2 - (α - β)2 = 4αβ .
ii) Να υπολογίσετε την τιμή της παράστασης:

         $\left(\dfrac{999}{1000} + \dfrac{1000}{999}\right)^2 - \left(\dfrac{999}{1000} - \dfrac{1000}{999}\right)^2$.

5.

i) Να αποδείξετε ότι α2 - (α - 1)(α + 1)= 1.
ii) Να υπολογίσετε την τιμή της παράστασης: (1,3265)2 - 0,3265 · 2,3265.

Μικροπείραμα πείραμα

6.

Να δείξετε ότι η διαφορά των τετραγώνων δυο διαδοχικών φυσικών αριθμών (του μικρότερου από του μεγαλύτερου) ισούται με το άθροισμά τους.

Μικροπείραμα πείραμα

7. Αν ν φυσικός αριθμός, να δείξετε ότι ο αριθμός 2ν + 2ν+1 + 2ν+2 είναι πολλαπλάσιο του 7.
ΑΣΚΗΣΕΙΣ Β' ΟΜΑΔΑΣ
1.

Να απλοποιήσετε τις παραστάσεις:
i) $\dfrac{α^3 - 2α^2 + α}{α^2 - α}$                ii) $\dfrac{(α^2 - α) + 2α - 2}{α^2 - 1}$.

2.

Να απλοποιήσετε τις παραστάσεις:

i) $\left(α - \dfrac{1}{α}\right) \cdot \dfrac{α^3 + α^2}{(α+1)^3}$           ii) $\dfrac{α^2 + α + 1}{α + 1} \cdot \dfrac{α^2 - 1}{α^3 - 1}$.

3.

Να απλοποιήσετε τις παραστάσεις:

i) $(x + y)^2 \cdot (x^{-1} + y^{-1})^{-2}$           ii) $\dfrac{x + y}{x - y} \cdot \dfrac{x^{-1} - y^{-1}}{x^{-2} - y ^{-2}}$.

4.

Να δείξετε ότι :

$\left(\dfrac{x^3 + y^3}{x^2 - y^2}\right) : \left(\dfrac{x^2}{x - y} - y\right) = 1.$

5.

Έστω α, β και γ τα μήκη των πλευρών ενός τριγώνου ΑΒΓ. Να δείξετε ότι το τρίγωνο είναι ισόπλευρο σε καθεμιά από τις παρακάτω περιπτώσεις:
i) Αν $\dfrac{α}{β}$ = $\dfrac{β}{γ}$ = $\dfrac{γ}{α}$.
ii) Αν α - β = β - γ = γ - α

Μικροπείραμα πείραμα

6.

Να δείξετε ότι, αν ένα ορθογώνιο έχει περίμετρο L = 4α και εμβαδόν E = α2, τότε το ορθογώνιο αυτό είναι τετράγωνο με πλευρά ίση με α.

Μικροπείραμα πείραμα

7.

Να δείξετε ότι:
i) Αν α ρητός και β άρρητος, τότε α + β άρρητος.
ii) Αν α ρητός, με α ≠ 0, και β άρρητος, τότε α · β άρρητος.

2.2 ΔΙΑΤΑΞΗ ΠΡΑΓΜΑΤΙΚΩΝ ΑΡΙΘΜΩΝ

Έννοια της διάταξης

Οι έννοιες «μεγαλύτερος από», «μικρότερος από», που είναι γνωστές από το Γυμνάσιο, ορίστηκαν ως εξής:

ΟΡΙΣΜΟΣ

Ένας αριθμός α λέμε ότι είναι μεγαλύτερος από έναν αριθμό β, και γράφουμε α > β, όταν η διαφορά α - β είναι θετικός αριθμός.


Στην περίπτωση αυτή λέμε επίσης ότι ο β είναι μικρότερος του α και γράφουμε β < α.

Από τον παραπάνω ορισμό προκύπτει αμέσως ότι:

  • Κάθε θετικός αριθμός είναι μεγαλύτερος από το μηδέν.
  • Κάθε αρνητικός αριθμός είναι μικρότερος από το μηδέν.

Έτσι ο αρχικός ορισμός γράφεται ισοδύναμα:
α > β ⇔ α - β > 0

Γεωμετρικά η ανισότητα α > β σημαίνει ότι, πάνω στον άξονα των πραγματικών ο αριθμός α είναι δεξιότερα από τον β.

pic044

Αν για τους αριθμούς α και β ισχύει α > β ή α = β , τότε γράφουμε α ≥ β και διαβάζουμε: «α μεγαλύτερος ή ίσος του β».
Από τον τρόπο με τον οποίο γίνονται οι πράξεις της πρόσθεσης και του πολλαπλασιασμού, προκύπτει ότι:

(α > 0 και β > 0) ⇒ α + β > 0
(α < 0 και β < 0) ⇒ α + β < 0

α, β ομόσημοι ⇔ α · β > 0 ⇔ $\dfrac{α}{β}$ > 0

α, β ετερόσημοι ⇔ α · β < 0 ⇔ $\dfrac{α}{β}$ < 0

α2 ≥ 0, για κάθε α $\in \mathbb{R} $
(Η ισότητα ισχύει μόνο όταν
α = 0)

Από την τελευταία εύκολα προκύπτουν και οι ισοδυναμίες:

α2 + β2 = 0 ⇔ α = 0 και β = 0
α2 + β2 > 0 ⇔ α ≠ 0 ή β ≠ 0

Ιδιότητες των ανισοτήτων

Στηριζόμενοι στην ισοδυναμία α > β ⇔ α - β > 0 , μπορούμε να αποδείξουμε τις παρακάτω ιδιότητες των ανισοτήτων:

1.

(α > β και β > ) ⇒ α > γ

2.

  • α > β ⇔ α + γ > β + γ
  • Αν γ > 0, τότε: α > β ⇔ α · γ > β · γ
  • Αν γ < 0, τότε: α > β ⇔ α · γ < β · γ

3.

  • (α > β και γ > δ ) ⇒ α + γ > β + δ
  • Για θετικούς αριθμούς α, β, γ, δ ισχύει
    η συνεπαγωγή:
    (α > β και γ > δ ) ⇒ α · γ > β · δ

Η ιδιότητα 3 ισχύει και για περισσότερες ανισότητες. Συγκεκριμένα:

  • 1 > β1 και α2 > β2 και … και αν > βν) ⇒ α1 + α2 +... + αν > β1 + β2 + ... + βν
  • Αν, επιπλέον, τα μέλη των ανισοτήτων είναι θετικοί αριθμοί, τότε:
    1 > β1 και α2 > β2 και … και αν > βν) ⇒ α1 · α2 · ... · αν > β1 · β2 · ... · βν (*)

Στη συνέχεια θα αποδείξουμε και την παρακάτω ιδιότητα.

4.

Για θετικούς αριθμούς α, β και θετικό ακέραιο ν ισχύει η ισοδυναμία:


α > β ⇔ αν > βν

ΑΠΟΔΕΙΞΗ

  • Έστω α > β . Τότε, από τη (*), γιαα1 = α2 = ... = αν = α > 0 και
    β1 = β2 = ... = βν = β > 0,
    προκύπτει ότι: αν > βν.
  • Για την απόδειξη του αντιστρόφου θα χρησιμοποιήσουμε τη μέθοδο της απαγωγής σε άτοπο. Έστω λοιπόν ότι αν > βν και α ≤ β. Τότε:
  • αν ήταν α = β , από τον ορισμό της ισότητας θα είχαμε αν = βν (άτοπο), ενώ
  • αν ήταν α < β , θα είχαμε αν < βν (άτοπο). Άρα, α > β .

Με τη βοήθεια της παραπάνω ιδιότητας θα αποδείξουμε τώρα ότι:Για θετικούς αριθμούς α, β και θετικό ακέραιο ν ισχύει η ισοδυναμία:

α = β ⇔ αν = βν

ΑΠΟΔΕΙΞΗ

  • Έστω α = β . Τότε, από τον ορισμό της ισότητας προκύπτει, όπως είπαμε και προηγουμένως, ότι αν = βν.
  • Για την απόδειξη του αντιστρόφου θα χρησιμοποιήσουμε τη μέθοδο της απαγωγής σε άτοπο. Έστω λοιπόν ότι αν = βν και α ≠ β . Τότε:
  • αν ήταν α > β , λόγω της (4), θα είχαμε αν > βν (άτοπο), ενώ
  • αν ήταν α < β, λόγω της (4), θα είχαμε αν < βν (άτοπο).

Άρα, α = β.

ΣΧΟΛΙΑ

1ο Σύμφωνα με την ιδιότητα 3, αν δυο ανισότητες της ίδιας φοράς τις προσθέσουμε κατά μέλη, προκύπτει ανισότητα της ίδιας φοράς. Δεν συμβαίνει όμως το ίδιο με την αφαίρεση. Για παράδειγμα, είναι

10 > 6 και 7 > 2, αλλά 10 - 7 < 6 - 2 .


2o Επίσης, σύμφωνα με την ιδιότητα 3, αν δυο ανισότητες της ίδιας φοράς με θετικούς, όμως, όρους τις πολλαπλασιάσουμε κατά μέλη, προκύπτει ανισότητα της ίδιας φοράς. Δεν συμβαίνει όμως το ίδιο με τη διαίρεση. Για παράδειγμα, είναι

24 > 10 και 6 > 2, αλλά $\dfrac{24}{6} \lt \dfrac{10}{2}.$

Διαστήματα

Το σύνολο των πραγματικών αριθμών x με α ≤ x ≤ β λέγεται κλειστό διάστημα από α μέχρι β και συμβολίζεται με [α, β].
Αν τώρα από το κλειστό διάστημα [α, β] παραλείψουμε τα α και β προκύπτει το αντίστοιχο ανοικτό διάστημα από το α μέχρι β που συμβολίζεται με (α, β).
Οι αριθμοί α και β λέγονται άκρα των διαστημάτων αυτών και κάθε αριθμός μεταξύ των α και β λέγεται εσωτερικό σημείο αυτών.
Η διαφορά δηλαδή μεταξύ ενός κλειστού και του αντίστοιχου ανοικτού διαστήματος είναι ότι το πρώτο περιέχει τα άκρα του, ενώ το δεύτερο δεν τα περιέχει.
Άλλες μορφές διαστημάτων είναι:

  • Το ανοικτό δεξιά διάστημα [α, β) που αποτελείται από τους αριθμούς x για τους οποίους ισχύει α ≤ x ≤ β και
  • Το ανοικτό αριστερά διάστημα (α, β] που αποτελείται από τους αριθμούς με x για τους οποίους ισχύει α < x ≤ β .

Τέλος, υπό μορφή διαστήματος,

  • Το σύνολο των αριθμών x για τους οποίους ισχύει α ≤ x συμβολίζεται με [α, +∞), ενώ
  • Το σύνολο των αριθμών x για τους οποίους ισχύει x ≤ α συμβολίζεται με (-∞, α].

Με ανάλογο τρόπο ορίζονται και τα διαστήματα (α, +∞) και (-∞, α). Τα σύμβολα +∞ και -∞, που διαβάζονται «συν άπειρο» και «πλην άπειρο» αντιστοίχως, δεν παριστάνουν πραγματικούς αριθμούς.
Στον παρακάτω πίνακα συνοψίζονται οι μορφές διαστημάτων πραγματικών αριθμών και οι διάφορες αναπαραστάσεις τους:

ΔΙΑΣΤΗΜΑ ΑΝΙΣΟΤΗΤΑ ΣΥΜΒΟΛΙΣΜΟΣ
pic046 α ≤ x ≤ β [α, β]
pic047 α ≤ x < β [α, β)
pic048 α < x ≤ β (α, β]
pic049 α < x ≤ β (α, β)
pic050 x ≥ α [α, +∞)
pic051 x > α (α, +∞)
pic052 x ≤ α (-∞, α]
pic053 x < α (-∞, α)

ΕΦΑΡΜΟΓΕΣ

1. Να αποδειχθεί ότι

i) Αν α, β ομόσημοι αριθμοί, τότε
     α < β ⇔ $\dfrac{1}{α}$ > $\dfrac{1}{β}$

ii) Για όλους τους πραγματικούς αριθμούς α, β ισχύει α2 + β2 ≥ 2αβ

iii) Αν α > 0, τότε $α + \dfrac{1}{α} \geq 2$.

ΑΠΟΔΕΙΞΗ

i) Αφού α, β είναι ομόσημοι αριθμοί έχουμε αβ > 0 . Επομένως ισχύει:

$α \lt β$ ⇔ $\dfrac{α}{αβ} \lt \dfrac{β}{αβ}$ ⇔ $ \dfrac{1}{β} \lt \dfrac{1}{α}$ ⇔ $\dfrac{1}{α} \gt \dfrac{1}{β} $.

ii) Έχουμε:

α2 + β2 ≥ 2αβ ⇔ α2 + β2 - 2αβ ≥ 0 (α - β)2 ≥ 0, που ισχύει

iii) Έχουμε:
α + pic02 ≥ 2 ⇔ α2 + 1 ≥ 2α ⇔ α2 +1 - 2α ≥ 0 ⇔ (α - 1)2 ≥ 0, που ισχύει.

2. Αν $-\dfrac{1}{2} \lt x \lt \dfrac{3}{4}$ και $-\dfrac{2}{3} \lt y \lt \dfrac{5}{6}$, να αποδειχθεί ότι:

-11 < 8x -12y + 3 < 17

ΑΠΟΔΕΙΞΗ

Από την ανισότητα $-\dfrac{1}{2} \lt x \lt \dfrac{3}{4}$ έχουμε διαδοχικά:

$8\left(-\dfrac{1}{2}\right) \lt 8x \lt 8 \cdot \dfrac{3}{4}$

$-4 \lt 8x \lt 6$              (1)

Ομοίως από την $-\dfrac{2}{3} \lt y \lt \dfrac{5}{6}$ έχουμε διαδοχικά:

$12\left(-\dfrac{2}{3}\right) \lt 12y \lt 12 \cdot \dfrac{5}{6}$


$-8 \lt 12y \lt 10$

$8 \gt -12y \gt -10$

$-10 \lt -12y \lt 8$              (2)

Προσθέτουμε τώρα κατά μέλη τις ανισότητες (1) και (2), που έχουν την ίδια φορά, και έχουμε:

-14 < 8x -12y < 14,

οπότε θα ισχύει:

-14 + 3 < 8x -12y + 3 < 14 + 3

Άρα

-11 < 8x -12y + 3 < 17

ΑΣΚΗΣΕΙΣ Α' ΟΜΑΔΑΣ
1.

Να αποδείξετε ότι:
i) α2 + 9 ≥ 6α   ii) 2(α2 + β2) ≥ (α + β)2

2. Να αποδείξετε ότι
α2 + β2 - 2α +1 ≥ 0. Πότε ισχύει η ισότητα;
3. Να βρείτε τους πραγματικούς αριθμούς x και y σε καθεμιά από τις παρακάτω περιπτώσεις:
i) Αν (x - 2)2 +(y + 1)2 = 0
ii) Αν x2 + y2 - 2x + 4y + 5 = 0
4. Αν 4,5 < x < 4,6 και 5,3 < y < 5,4, να βρείτε τα όρια μεταξύ των οποίων περιέχεται η τιμή καθεμιάς από τις παραστάσεις:
i) x + y        ii) x - y        iii) $\dfrac{x}{y}$        iv) x2 + y2

Μικροπείραμα πείραμα

5. Το πλάτος x και το μήκος y ενός ορθογωνίου ικανοποιούν τις ανισότητες 2 < x < 3 και 3 < y < 5. Αν αυξήσουμε το πλάτος κατά 0,2 και ελαττώσουμε το μήκος κατά 0,1, να βρείτε τις δυνατές τιμές:
i) της περιμέτρου ii) του εμβαδού του νέου ορθογωνίου.

Μικροπείραμα πείραμα

6. Αν 0 < α < β, να δείξετε ότι

$\dfrac{α}{1 + α} \lt \dfrac{β}{1 + β}$.

7. Να βρείτε το λάθος στους παρακάτω συλλογισμούς:
Έστω x > 5 . Τότε έχουμε διαδοχικά

x > 5
5x > 25
5x - x2 > 25 - x2
x(5 -x) > (5 + x)(5 -x)
x > 5 + x
0 > 5.

ΑΣΚΗΣΕΙΣ B' ΟΜΑΔΑΣ
1. Δίνονται ένα κλάσμα $\dfrac{α}{β}$ θετικούς όρους και ένας θετικός αριθμός γ. Να αποδείξετε ότι:

i) Aν $\dfrac{α}{β} \lt 1$, τότε $\dfrac{α + γ}{β + γ} \gt \dfrac{α}{β}$

ii) Aν $\dfrac{α}{β} \gt 1$, τότε $\dfrac{α + γ}{β + γ} \lt \dfrac{α}{β}$
2. Αν α > 1 > β , να αποδείξετε ότι α + β > 1 + αβ
3. Αν α, β θετικοί αριθμοί, να δείξετε ότι $(α + β) \left(\dfrac{1}{α} + \dfrac{1}{β}\right) \geq 4$.

Μικροπείραμα πείραμα

4. Να αποδείξετε ότι:
i) α2 + αβ + β2 ≥ 0          ii) α2 - αβ + β2 ≥ 0

2.3 ΑΠΟΛΥΤΗ ΤΙΜΗ ΠΡΑΓΜΑΤΙΚΟΥ ΑΡΙΘΜΟΥ

Ορισμός της απόλυτης τιμής

Θεωρούμε έναν αριθμό α που παριστάνεται με το σημείο Α πάνω σε έναν άξονα.

pic068

Γνωρίζουμε από το Γυμνάσιο ότι η απόσταση του σημείου Α από την αρχή Ο, δηλαδή το μήκος του ευθύγραμμου τμήματος ΟΑ, ονομάζεται απόλυτη τιμή του αριθμού α και την συμβολίζεται με |α|.
Από τον τρόπο με τον οποίο κατασκευάστηκε ο άξονας προκύπτει ότι:

  • $\lvert 2 \rvert = 2$, $\lvert \dfrac{13}{5} \rvert = \dfrac{13}{5}$, $\lvert \sqrt{2} \rvert = \sqrt{2}$ και γενικά: |α| = α , για κάθε α > 0.

Δηλαδή:
Η απόλυτη τιμή θετικού αριθμού είναι ο ίδιος ο αριθμός.

  • $\lvert -2 \rvert = 2$, $\lvert -\dfrac{13}{5} \rvert = \dfrac{13}{5}$, $\lvert -\sqrt{2} \rvert = \sqrt{2}$ και γενικά |α| = -α , για κάθε α < 0.
    Δηλαδή:Η απόλυτη τιμή αρνητικού αριθμού είναι ο αντίθετός του.
  • |0| = 0

Επομένως, έχουμε τον ακόλουθο αλγεβρικό ορισμό της απόλυτης τιμής πραγματικού αριθμού.

ΟΡΙΣΜΟΣ


Η απόλυτη τιμή ενός πραγματικού αριθμού α συμβολίζεται με |α| και ορίζεται από τον τύπο:

$\lvert α \rvert$ = $\begin{cases} \quad α ,\quad αν \quad α \geq 0 \\ -α ,\quad αν \quad α \lt 0 \end{cases}$

Από τα προηγούμενα συμπεραίνουμε αμέσως ότι:

  • |α| = |-α| ≥ 0
  • |α| ≥ α και |α| ≥ -α
  • |α|2 = α2
Αν θ > 0, τότε:
  • |x| = θ ⇔ x = θ ή x = -θ
  • |x| = |α| ⇔ x = α ή x = -α

Για παράδειγμα,

  • |x| = 5 ⇔ x = 5 ή x = -5
  • |α - β| = |2α - 3β|
    ⇔ α - β = 2α - 3β ή α - β = 3β - 2α
    ⇔ α = 2β ή $α = \dfrac{4}{3}β$

Μικροπείραμα πείραμα

Ιδιότητες των απόλυτων τιμών

Από τον τρόπο εκτέλεσης των πράξεων μεταξύ πραγματικών αριθμών, προκύπτουν για τις απόλυτες τιμές οι ακόλουθες ιδιότητες:

1. |α · β| = |α| · |β|

2. $\left|{\dfrac{α}{β}}\right|$ = $\dfrac{\lvert α \rvert}{\lvert β \rvert}$

3. |α + β| ≤ |α| + |β|

Οι ιδιότητες αυτές, όμως, μπορούν να αποδειχθούν και με τη βοήθεια των προηγούμενων συμπερασμάτων.

ΑΠΟΔΕΙΞΗ

1. Επειδή και τα δύο μέλη της ισότητας |α · β| = |α| · |β| είναι μη αρνητικοί αριθμοί, έχουμε διαδοχικά:

|α · β| = |α| · |β|⇔ |α · β|2 = (|α| · |β|)2
|α · β|2 = |α|2 · |β|2
(α · β)2 = α2 · β2, που ισχύει.

2. Αποδεικνύεται με τον ίδιο τρόπο.

3. Επειδή και τα δύο μέλη της ανισότητας |α + β| < |α| + |β| είναι μη αρνητικοί αριθμοί, έχουμε διαδοχικά:

|α+β| ≤ |α| + |β| ⇔ |α+β|2 ≤ (|α| + |β|)22
(α + β)2 ≤ |α|2 + |β|2 + 2|α| · |β|
α2 + β2 + 2αβ ≤ α2 + β2 + 2|αβ|
αβ ≤ |αβ|, που ισχύει.

Είναι φανερό ότι η ισότητα αβ = |αβ| ισχύει αν και μόνο αν αβ ≥ 0 , δηλαδή αν και μόνο αν οι αριθμοί α και β είναι ομόσημοι ή ένας τουλάχιστον από αυτούς είναι ίσος με μηδέν.

ΣΧΟΛΙΟ

  • Η ισότητα |α · β| = |α| · |β| ισχύει και για περισσότερους παράγοντες.

Συγκεκριμένα:
1 · α2 · ... · αν| = |α1| · |α2| · ... · |αν| Στην ειδική μάλιστα περίπτωση που είναι α1 = α2 = ... = αν = α, έχουμε:

ν| = |α|ν

  • Η ανισότητα |α + β| ≤ |α| + |β| ισχύει και για περισσότερους προσθετέους.

Συγκεκριμένα:
1 + α2 + ... + αν| ≤ |α1| + |α2| + ... + |αν|

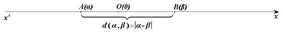
Απόσταση δυο αριθμών

  • Ας πάρουμε τώρα δυο αριθμούς, για παράδειγμα τους -2 και 3, που παριστάνονται πάνω στον άξονα με τα σημεία Α και Β αντιστοίχως.

pic076

Το μήκος του τμήματος ΑΒ λέγεται απόσταση των αριθμών -2 και 3. Παρατηρούμε ότι(ΑΒ ) = 5 = |(-2) - 3| = |3 - (-2)|.
Γενικότερα, ας θεωρήσουμε δυο αριθμούς α και β που παριστάνονται πάνω στον άξονα με τα σημεία Α και Β αντιστοίχως.

pic077

Το μήκος του τμήματος ΑΒ λέγεται απόσταση των αριθμών α και β, συμβολίζεται με d(α,β) και είναι ίση με |α- β|. Είναι δηλαδή:

d (α, β) = |α - β|

Προφανώς ισχύει d (α, β) = d (β, α) . Στην περίπτωση μάλιστα που είναι α < β, τότε η απόσταση των α και β είναι ίση με β - α και λέγεται μήκος του διαστήματος [α, β].

  • Ας θεωρήσουμε τώρα ένα διάστημα [α, β] και ας ονομάσουμε Α και Β τα σημεία που παριστάνουν στον άξονα τα άκρα α και β αντιστοίχως.

pic078

Αν Μ (x0) είναι το μέσον του τμήματος AB, τότε έχουμε

(MA) = (MB) ⇔ d(x0, α) = d(x0, β)
   ⇔ |x0 - α| = |x0 - β|
   ⇔ x0 - α = β - x0, (αφού α < x0 < β)
   ⇔ 2x0 = α + β
   ⇔ $x_0 = \dfrac{α+β}{2}$

Ο αριθμός $\frac{α + β}{2}$ που αντιστοιχεί στο μέσον Μ του τμήματος ΑΒ λέγεται κέντρο του διαστήματος [α, β], ενώ ο αριθμός $ρ = \frac{β - α}{2}$ λέγεται ακτίνα του [α, β].

Ως μήκος, κέντρο και ακτίνα των διαστημάτων (α, β), [α, β) και (α, β] ορίζουμε το μήκος, το κέντρο και την ακτίνα του διαστήματος [α, β].
• Έστω τώρα ότι θέλουμε να βρούμε τους πραγματικούς αριθμούς x για τους οποίους ισχύει |x - 3| < 2.

pic082

Από τον ορισμό της απόστασης έχουμε:

|x - 3| < 2 ⇔ d (x,3) < 2
   ⇔ 3 - 2 < x < 3 + 2
   ⇔ x $\in$(3 - 2, 3 + 2)

Γενικά:

Για x0 ∊ ℝ και ρ > 0, ισχύει:
|x - x0| < ρ ⇔ x $\in$ (x0 - ρ, x0 + ρ) ⇔ x0 - ρ < x < x0 + ρ

Δηλαδή, οι αριθμοί x που ικανοποιούν τη σχέση |x -x0| < ρ είναι τα σημεία του διαστήματος (x0 - ρ, x0 + ρ) που έχει κέντρο το x0 και ακτίνα ρ.

pic083

Στην ειδική περίπτωση που είναι x0 = 0 , έχουμε:

|x| < ρ ⇔x $\in$(-ρ, ρ) ⇔ -ρ < x < ρ .

Για παράδειγμα,

|x| < 2 ⇔ x $\in$(-2, 2) ⇔ -2 < x < 2 .

• Έστω, τώρα, ότι θέλουμε να βρούμε τους πραγματικούς αριθμούς x για τους οποίους ισχύει |x - 3| > 2.

pic084

Από τον ορισμό της απόστασης έχουμε:

|x - 3| > 2 ⇔ d (x,3) > 2
   ⇔ x < 3 - 2 ή x > 3 + 2
   ⇔ x ∊ (-∞, 3 - 2) U (3 + 2, +∞).

Γενικά:

Για x0 $\in$ ℝ και ρ > 0, ισχύει:
|x - x0| < ρ ⇔ x $\in$ (-∞, x0 - ρ) U (x0 + ρ, +∞)
⇔ x < x0 - ρ ή x > x0 + ρ

Δηλαδή οι αριθμοί x που ικανοποιούν τη σχέση |x - x0| > ρ αντιστοιχούν σε σημεία Μ(x) του άξονα x΄x που απέχουν από το σημείο Κ(x0) απόσταση μεγαλύτερη του ρ.

pic085

Στην ειδική περίπτωση που είναι x0 = 0 , η τελευταία ισοδυναμία παίρνει τη μορφή:

|x| > ρ ⇔ x < -ρ ή x > ρ

Για παράδειγμα:

   |x| > 2 ⇔ x < -2 ή x > 2 .

Μικροπείραμα πείραμα

ΑΣΚΗΣΕΙΣ Α' ΟΜΑΔΑΣ
1. Να γράψετε τις παρακάτω παραστάσεις χωρίς απόλυτες τιμές.
i) |π - 3|         ii) |π - 4|         iii) |3 - π| +|4 - π|         iv) $\lvert{\sqrt{2} - \sqrt{3}}\rvert - \lvert{\sqrt{3} - \sqrt{2}}\rvert$.
2. Αν 3 < x < 4 , να γράψετε χωρίς την απόλυτη τιμή την παράσταση

|x - 3| + |x - 4|

3. Να γράψετε χωρίς την απόλυτη τιμή την παράσταση |x - 3| - |4 - x|, όταν:
i) x < 3        ii) x > 4.
4. Αν α ≠ β, να βρείτε την τιμή της παράστασης $\left\lvert{\dfrac{α - β}{β - α}}\right\rvert$.
5. Αν x ≠ 0 και y ≠ 0, να βρείτε τις τιμές που μπορεί να πάρει η παράσταση $A = \dfrac{\lvert x \rvert}{x} + \dfrac{\lvert y \rvert}{y}$.
6. Η διάμετρος ενός δίσκου μετρήθηκε και βρέθηκε 2,37dm. Το λάθος της μέτρησης είναι το πολύ 0,005dm. Αν D είναι η πραγματική διάμετρος του κύκλου, τότε:
i) Να εκφράσετε την παραπάνω παραδοχή με τη βοήθεια της έννοιας της απόστασης
ii) Να βρείτε μεταξύ ποιών ορίων βρίσκεται η τιμή D.
7. Να συμπληρώσετε τον παρακάτω πίνακα όπως δείχνει η πρώτη γραμμή του.
ΠΙΝΑΚΑΣ
Απόλυτη Τιμή Απόσταση Διάστημα ή
ένωση διαστημάτων
|x - 4| ≤ 2 d(x,4) ≤ 2 [2, 6]
|x + 3| < 4    
|x - 4| > 2    
|x + 3| ≥ 4    
  d (x,5) < 1  
  d (x,-1) > 2  
  d (x,5) ≥ 1  
  d (x,-1) ≤ 2  
    (-2, 2)
    [-5, 1]
    (-∞, - 2]U [2, +∞)
    (-∞, - 5) U (1, +∞)
ΑΣΚΗΣΕΙΣ B' ΟΜΑΔΑΣ
1. Να αποδείξετε ότι

|α - β| ≤ |α - γ| + |γ - β|.

2. Αν α > β, να αποδείξετε ότι:

i) $α = \dfrac{α + β + \lvert α - β\rvert}{2}$                   ii) $β = \dfrac{α + β - \lvert α - β\rvert}{2}$

3. Τι σημαίνει για τους αριθμούς x και y :
i) H ισότητα |x| + |y| = 0 ;
ii) H ανισότητα |x| + |y| > 0;
4. Έστω 0 < α < β .
i) Να διατάξετε από τον μικρότερο στο μεγαλύτερο τους αριθμούς

1, $\dfrac{α}{β}$ και $\dfrac{β}{α}$.

ii) Να δείξετε ότι στον πραγματικό άξονα ο αριθμός $\dfrac{α}{β}$ βρίσκεται πλησιέστερα στο 1 από ότι ο αριθμός $\dfrac{β}{α}$ .

Μικροπείραμα πείραμα

5. Αν |x - 2| < 0,1 και |y - 4| < 0,2 να εκτιμήσετε την τιμή της περιμέτρου των παρακάτω σχημάτων:

pic093

Μικροπείραμα πείραμα

2.4 ΡΙΖΕΣ ΠΡΑΓΜΑΤΙΚΩΝ ΑΡΙΘΜΩΝ

Τετραγωνική ρίζα μη αρνητικού αριθμού

Στο Γυμνάσιο μάθαμε την έννοια της τετραγωνικής ρίζας μη αρνητικού αριθμού και τις ιδιότητές της. Συγκεκριμένα μάθαμε ότι:

ΟΡΙΣΜΟΣ


H τετραγωνική ρίζα ενός μη αρνητικού αριθμού α συμβολίζεται με $\sqrt{α}$ και είναι ο μη αρνητικός αριθμός που, όταν υψωθεί στο τετράγωνο, δίνει τον α.

Μπορούμε επομένως να πούμε ότι:
Αν α ≥ 0, η $\sqrt{α}$ παριστάνει τη μη αρνητική λύση της εξίσωσης x2 = α .

Για τις τετραγωνικές ρίζες μη αρνητικών αριθμών γνωρίσαμε τις παρακάτω ιδιότητες:

  • $\sqrt{α^2} = \lvert α \rvert$
  • $\sqrt{α} \cdot \sqrt{β} = \sqrt{α \cdot β}$
  • $\dfrac{\sqrt{α}}{\sqrt{b}} = \sqrt{\dfrac{α}{β}}$

ν-οστή ρίζα μη αρνητικού αριθμού

Ας υποθέσουμε ότι θέλουμε να κατασκευάσουμε μια κυβική δεξαμενή χωρητικότητας 64 κυβικών μέτρων και ζητάμε την πλευρά της. Αν x μέτρα είναι η πλευρά της δεξαμενής, τότε ο όγκος της θα είναι x3 κυβικά μέτρα και επομένως θα ισχύει: x3= 64.
Αναζητούμε λοιπόν έναν αριθμό x που, όταν υψωθεί στον κύβο, θα μας δώσει 64. Ο αριθμός αυτός, αφού παριστάνει μήκος, πρέπει να είναι θετικός. Με δοκιμές βρίσκουμε ότι ο ζητούμενος αριθμός είναι ο 4, διότι 43 = 64 . Ο αριθμός 4 λέγεται τρίτη ρίζα του 64 και συμβολίζεται με $\sqrt[3]{64}$.
Δηλαδή $\sqrt[3]{64}$ = 4 . Η τρίτη ρίζα ενός αριθμού λέγεται και κυβική ρίζα του αριθμού αυτού.
Γενικεύοντας τώρα τα παραπάνω για κάθε θετικό ακέραιο ν, δίνουμε τον ακόλουθο ορισμό.

pic096
pic097

ΟΡΙΣΜΟΣ

Η ν-οστή ρίζα ενός μη αρνητικού αριθμού α συμβολίζεται με $\sqrt[v]{α}$ και είναι ο μη αρνητικός αριθμός(1) που, όταν υψωθεί στην ν, δίνει τον α.

Επίσης γράφουμε

$\sqrt[1]{α} = α$ και $\sqrt[2]{α} = \sqrt{α}$

Μπορούμε επομένως να πούμε ότι:
Αν α ≥ 0, τότε η $\sqrt[v]{α}$ παριστάνει τη μη αρνητική λύση της εξίσωσης xν = α .

ΣΧΟΛΙΟ

Είναι 104 = 10000, οπότε $\sqrt[4]{10000}$ = 10. Είναι επίσης και (-10)4 = 10000. Όμως, δεν επιτρέπεται να γράφουμε $\sqrt[4]{10000}$ = -10, αφού, σύμφωνα με τον παραπάνω ορισμό, η $\sqrt[4]{10000}$ είναι η μη αρνητική λύση της εξίσωσης x4 = 10000.

Ιδιότητες των ριζών

Από τον ορισμό της ν-οστής ρίζας ενός μη αρνητικού αριθμού α , συμπεραίνουμε αμέσως ότι:

  • Αν α ≥ 0, τότε:

    $(\sqrt[v]{α})^ν = α \quad και \quad \sqrt[v]{α^v} = α$.
  • Αν α ≤ 0 και ν άρτιος, τότε:

    $(\sqrt[v]{α})^ν$ = $\lvert α \rvert$.

(1)Αποδεικνύεται ότι υπάρχει και είναι μοναδικός

Για παράδειγμα:

$\sqrt[6]{2^6} = 2$, ενώ $\sqrt[6]{(-2)^6} = \lvert -2 \rvert = 2$

Ισχύουν όμως και οι ακόλουθες ιδιότητες, από τις οποίες οι δύο πρώτες είναι ανάλογες των ιδιοτήτων της τετραγωνικής ρίζας:

Αν α, β ≥ 0, τότε:


1. $\sqrt[v]{α} \cdot \sqrt[v]{β} = \sqrt[v]{α \cdot β}$

2. $\dfrac{\sqrt[v]{α}}{\sqrt[v]{β}} = \sqrt[v]{\dfrac{α}{β}}$    (εφόσον β ≠ 0)

3. $\sqrt[μ]{\sqrt[v]{α}} = \sqrt[μ \cdot ν]{α}$

4. $\sqrt[v \cdot ρ]{α^{μ \cdot ρ}} = \sqrt[ν]{α^μ}$

ΑΠΟΔΕΙΞΗ

1. Έχουμε:

$\sqrt[v]{α} \cdot \sqrt[v]{β} = \sqrt[v]{α \cdot β}$ ⇔ $(\sqrt[v]{α} \cdot \sqrt[v]{β})^v = (\sqrt[v]{α \cdot β})^ν$ ⇔ $(\sqrt[v]{α})^ν \cdot (\sqrt[v]{β})^ν$ = $α \cdot β$ ⇔ $α \cdot β = α \cdot β$,     που ισχύει.

2. Αποδεικνύεται όπως και η 1.

3. Έχουμε:

$\sqrt[μ]{\sqrt[v]{α}} = \sqrt[μ \cdot ν]{α}$ ⇔ $(\sqrt[μ]{\sqrt[v]{α}})^{μ \cdot ν} = (\sqrt[μ \cdot ν]{α})^{μ \cdot ν}$ ⇔ $\left[(\sqrt[μ]{\sqrt[v]{α}})^{μ})\right]^ν = α$ ⇔ $(\sqrt[v]{α})^ν = α$,     που ισχύει.

4. Έχουμε:

$\sqrt[v \cdot ρ]{α^{μ \cdot ρ}} = \sqrt[ν]{\sqrt[ρ]{α^{μ \cdot ρ}}} = \sqrt[ν]{\sqrt[ρ]{(α^{μ})^ρ}} = \sqrt[ν]{α^μ}$.

ΣΧΟΛΙΟ

Η ιδιότητα 1. ισχύει και για περισσότερους από δυο μη αρνητικούς παράγοντες.
Συγκεκριμένα, για μη αρνητικούς αριθμούς α1, α2, ... , ακ ισχύει:
$\sqrt[v]{α_1} \cdot \sqrt[v]{α_2} \cdot ... \cdot \sqrt[v]{α_κ} = \sqrt[v]{α_1 \cdot α_2 \cdot ... \cdot α_κ}$
Στην ειδική μάλιστα περίπτωση που είναι α1 = α2 = ... = ακ = α > 0, ισχύει:
$\sqrt[v]{α^κ} = (\sqrt[v]{α})^κ$ ,
οπότε, λόγω της ιδιότητας 1, για α , β ≥ 0 έχουμε
$\sqrt[v]{α^vβ} = α \cdot \sqrt[v]{β}.$

Δυνάμεις με ρητό εκθέτη

Στη συνέχεια θα ορίσουμε παραστάσεις της μορφής $α^\frac{μ}{ν}$ , όπου α > 0, μ ακέραιος και ν θετικός ακέραιος, τις οποίες θα ονομάσουμε δυνάμεις με ρητό εκθέτη. Ο ορισμός θα γίνει με τέτοιο τρόπο, ώστε να διατηρούνται οι γνωστές μας ιδιότητες των δυνάμεων με ακέραιο εκθέτη.
Τι θα πρέπει, για παράδειγμα, να σημαίνει το $3^\frac{2}{5}$; Αν απαιτήσουμε να ισχύει η ιδιότητα $(α^p)^q = α^{pq}$ και για δυνάμεις με ρητό εκθέτη, τότε θα είναι
$\left(3^{\frac{2}{5}}\right)^5$ = $3^{\frac{2}{5} \cdot 5}$ = $3^2$. Άρα πρέπει ο $3^{\frac{2}{5}}$ να είναι λύση της εξίσωσης x5 = 32.
Δηλαδή πρέπει να είναι $3^{\frac{2}{5}} = \sqrt[5]{3^2}$.
Γενικά:

ΟΡΙΣΜΟΣ


Αν α > 0, μ ακέραιος και ν θετικός ακέραιος, τότε ορίζουμε:

$α^{\frac{μ}{v}} = \sqrt[v]{α^μ}$

Επιπλέον, αν μ, ν θετικοί ακέραιοι, τότε ορίζουμε $0^{\frac{μ}{v}} = 0$. Για παράδειγμα:
$8^{\frac{2}{3}}$ = $\sqrt[3]{8^2}$ = $\sqrt[3]{64} = 4$          και          $27^{-\frac{4}{3}}$ = $\sqrt[3]{27^{-4}}$ = $\sqrt[3]{\dfrac{1}{27^4}}$ = $\dfrac{1}{\sqrt[3]{27^4}}$ = $ \dfrac{1}{3^4}$.

Με τη βοήθεια των ιδιοτήτων των ριζών αποδεικνύεται ότι οι ιδιότητες των δυνάμεων με ακέραιο εκθέτη ισχύουν και για δυνάμεις με ρητό εκθέτη. Το γεγονός αυτό διευκολύνει το λογισμό με τα ριζικά. Έτσι έχουμε για παράδειγμα:
$\sqrt[4]{α} \cdot \sqrt[3]{α} = α^{\frac{1}{4}} \cdot α^{\frac{1}{3}} = α^{\frac{1}{4} + \frac{1}{3}} = α^\frac{7}{12} = \sqrt[12]{α^7}$.

ΕΦΑΡΜΟΓΕΣ

1. Αν α και β είναι μη αρνητικοί αριθμοί, να αποδειχθεί η ισοδυναμία:

$α \lt β$ ⇔ $\sqrt[v]{α} \lt \sqrt[v]{β}$

ΑΠΟΔΕΙΞΗ

Έχουμε:

$\sqrt[v]{α} \lt \sqrt[v]{β}$ ⇔ $(\sqrt[v]{α})^ν \lt (\sqrt[v]{β})^ν$ ⇔ α < β , που ισχύει.

2. Να τραπούν οι παραστάσεις σε ισοδύναμες, χωρίς ριζικά στους παρονομαστές:

i) $\dfrac{5}{\sqrt{3}}$                  ii) $\dfrac{10}{\sqrt{5}-1}$                  iii) $\dfrac{6}{\sqrt{7}+\sqrt{5}}$

ΛΥΣΗ

Έχουμε:
i) $\dfrac{15}{\sqrt{3}} = \dfrac{15 \cdot \sqrt{3}}{\sqrt{3} \cdot \sqrt{3}} = \dfrac{15 \cdot \sqrt{3}}{(\sqrt{3})^2} = \dfrac{15 \cdot \sqrt{3}}{3} = 5\sqrt{3}$.

ii) $\dfrac{10}{\sqrt{5}-1} = \dfrac{10 (\sqrt{5}+1)}{(\sqrt{5}-1)(\sqrt{5}+1)} = \dfrac{10 (\sqrt{5}+1)}{(\sqrt{5})^2-1^2} = \dfrac{10 (\sqrt{5}+1)}{5-1} = \dfrac{5(\sqrt{5}+1)}{2}$.

iii) $\dfrac{6}{\sqrt{7}+\sqrt{5}} = \dfrac{6(\sqrt{7}-\sqrt{5})}{(\sqrt{7}+\sqrt{5})(\sqrt{7}-\sqrt{5})} = \dfrac{6(\sqrt{7}-\sqrt{5})}{(\sqrt{7})^2-(\sqrt{5})^2} = \dfrac{6(\sqrt{7}-\sqrt{5})}{7-5} = 3(\sqrt{7}-\sqrt{5})$.


3. Να αποδειχθεί ότι:

$\sqrt{10}\cdot\sqrt[3]{5}\cdot\sqrt[6]{40} = 10.$

ΑΠΟΔΕΙΞΗ

Έχουμε:

$\sqrt{10}\cdot\sqrt[3]{5}\cdot\sqrt[6]{40} = 10^{\frac{1}{2}}\cdot5^{\frac{1}{3}}\cdot40^{\frac{1}{6}} = (2\cdot5)^{\frac{1}{2}} \cdot 5^{\frac{1}{3}} \cdot (2^3\cdot5)^{\frac{1}{6}}$

= $2^{\frac{1}{2}}\cdot5^{\frac{1}{2}}\cdot5^{\frac{1}{3}}\cdot2^{\frac{3}{6}}\cdot5^{\frac{1}{6}} = 2^{\frac{1}{2}}\cdot2^{\frac{1}{2}}\cdot5^{\frac{1}{2}}\cdot5^{\frac{1}{3}}\cdot5^{\frac{1}{6}}$

=$2^1\cdot5^{\frac{1}{2}+ \frac{1}{3} + \frac{1}{6}} = 2\cdot5=10.$

ΑΣΚΗΣΕΙΣ Α' ΟΜΑΔΑΣ
1. Να υπολογίσετε τις ρίζες:
i) $\sqrt{100}$,         $ \sqrt[3]{1000}$,          $\sqrt[4]{10000}$,          $ \sqrt[5]{100000}$.

ii) $\sqrt{4}$,         $ \sqrt[3]{8}$,          $\sqrt[4]{16}$,          $ \sqrt[5]{32}$.

iii) $\sqrt{0,01}$,         $ \sqrt[3]{0,001}$,          $\sqrt[4]{0,0001}$,          $ \sqrt[5]{0,00001}$.
2. Να γράψετε τις παρακάτω παραστάσεις χωρίς ριζικά
i) $\sqrt{(π-4)^2}$          ii) $\sqrt{(-20)^2}$          iii) $\sqrt{(x-1)^2}$          iv) $\sqrt{\dfrac{x^2}{4}}$.
3. Να αποδείξετε ότι:
$\sqrt{(2-\sqrt{5})^2} + \sqrt{(3-\sqrt{5})^2} = 1.$
4. Να αποδείξετε ότι:
$(\sqrt{x-5} - \sqrt{x+3}) \cdot (\sqrt{x-5}+\sqrt{x+3}) = -8.$
5. Να αποδείξετε ότι:
i) $(\sqrt{8} - \sqrt{18})\cdot(\sqrt{50} + \sqrt{72} - \sqrt{32}) = -14$

ii) $(\sqrt{28} + \sqrt{7} +\sqrt{32}) \cdot (\sqrt{63} -\sqrt{32}) = 31.$
6. Να αποδείξετε ότι:
i) $\sqrt{2}\cdot\sqrt{2-\sqrt{2}}\cdot\sqrt{2+\sqrt{2}} = 2$

ii) $\sqrt[3]{2}\cdot\sqrt[3]{3+\sqrt{5}}\cdot\sqrt[3]{3-\sqrt{5}} = 2$.
7. Να αποδείξετε ότι:
i) $\sqrt{\sqrt{2\cdot\sqrt[3]{2}}} = \sqrt[3]{2}$

ii) $\sqrt[5]{2\sqrt{2\sqrt[3]{2}}} = \sqrt[3]{2}$.
8. Να αποδείξετε ότι:
i) $\sqrt[4]{3^3} \cdot \sqrt[3]{3} = 3 \cdot \sqrt[12]{3}$          ii) $\sqrt[9]{2^8} \cdot \sqrt[6]{2^5}$ = $2\cdot\sqrt[18]{2^{13}}$          iii) $\sqrt{5^3} \cdot \sqrt[3]{5} \cdot \sqrt[6]{5^4} = 25 \cdot\sqrt{5}.$
9. Να αποδείξετε ότι:
i) $\dfrac{25\cdot\sqrt{12}}{\sqrt{75}} = 10$          ii) $\dfrac{\sqrt{216}\cdot\sqrt{75}}{\sqrt{50}} = 18.$
10. Να μετατρέψετε τις παρακάτω παραστάσεις σε ισοδύναμες με ρητούς παρανομαστές:
i) $\dfrac{4}{5-\sqrt{3}}$          ii) $\dfrac{8}{\sqrt{7}-\sqrt{5}}$          iii) $\dfrac{\sqrt{7} + \sqrt{6}}{\sqrt{7} - \sqrt{6}}$.
11. Να αποδείξετε ότι:
i) $\dfrac{\sqrt{162}+\sqrt{98}}{\sqrt{50} - \sqrt{32}} = 16$          ii) $\sqrt{\dfrac{9^{12} + 3^{20}}{{9^{11} +27^6}}} = 3,$
αφού αναλύσετε τα υπόριζα σε γινόμενα πρώτων παραγόντων.
ΑΣΚΗΣΕΙΣ B' ΟΜΑΔΑΣ
1. i) Να αποδείξετε ότι:
$\dfrac{3\sqrt{3}-2\sqrt{2}}{\sqrt{3}-\sqrt{2}} = 5 + \sqrt{6}$

ii) Αν α, β > 0 να αποδείξετε ότι
$\dfrac{α\sqrt{α}-β\sqrt{β}}{\sqrt{α}-\sqrt{β}} = (α+β) + \sqrt{αβ}.$
2. i) Να βρείτε τα αναπτύγματα των

$(3+2\sqrt{7})^2$ και $(3-2\sqrt{7})^2$.

ii) Να αποδείξετε ότι:

$\sqrt{37+12\sqrt{7}} - \sqrt{37-12\sqrt{7}} = 6.$
3. i) Να αποδείξετε ότι ο αριθμός $\left(\sqrt{\dfrac{2}{3}} + \sqrt{\dfrac{3}{2}}\right)^2$ είναι ρητός.
ii) Αν α θετικός ρητός, να αποδείξετε ότι ο $\left(\sqrt{α} + \dfrac{1}{\sqrt{α}}\right)^2$ είναι ρητός.
4. Να αποδείξετε ότι:
i) $\dfrac{\sqrt{3}}{\sqrt{5}-\sqrt{3}} + \dfrac{\sqrt{5}}{\sqrt{5}+\sqrt{3}} = 4$          ii) $\dfrac{1}{(2-\sqrt{3})^2} - \dfrac{1}{(2+\sqrt{3})^2} = 8\sqrt{3}$.
5. Σε ένα ορθογώνιο τρίγωνο οι κάθετες πλευρές του είναι AB = $\sqrt{α}$ και ΑΓ = $\sqrt{β}$ .
i) Να υπολογίσετε την υποτείνουσα ΒΓ του τριγώνου.
ii) Με τη βοήθεια της τριγωνικής ανισότητας να αποδείξετε ότι:
$\sqrt{α+β} \lt \sqrt{α} + \sqrt{β}$.

iii) Για μη αρνητικούς αριθμούς α και β , να αποδείξετε ότι $\sqrt{α+β} \le \sqrt{α} + \sqrt{β}$. Πότε ισχύει η ισότητα;
ΕΡΩΤΗΣΕΙΣ ΚΑΤΑΝΟΗΣΗΣ 2ου ΚΕΦΑΛΑΙΟΥ

I.

Σε καθεμιά από τις παρακάτω περιπτώσεις να κυκλώσετε το γράμμα Α, αν ο ισχυρισμός είναι αληθής για όλους τους πραγματικούς αριθμούς α, β, γ και δ. Διαφορετικά να κυκλώσετε το γράμμα Ψ.

 
1. (α = β και γ = δ) ⇔ α + γ = β + δ . Α Ψ
2. Αν α2 = αβ , τότε α = β . Α Ψ
3. (α + β)2 = α2 + β2. Α Ψ
4. Το άθροισμα α + β δύο άρρητων αριθμών α και β είναι άρρητος αριθμός A Ψ
5. Το γινόμενο α · β δύο άρρητων αριθμών α και β είναι άρρητος αριθμός. A Ψ
6. Αν α > β και γ < δ, τότε α - γ > β - δ. A Ψ
7. Αν α2 > αβ, τότε α > β. A Ψ
8. Αν $\dfrac{α}{β} \gt 1$, τότε α > β. A Ψ
9. Αν α > β και α >- β, τότε α > 0. A Ψ
10. Αν $α \gt \dfrac{1}{α}$, τότε α > 1. A Ψ
11. Αν α < β < 0, τότε α2 > β2. A Ψ
12. Αν α >-2 και β > -3 , τότε αβ > 6 . A Ψ
13. Αν α < -2 και β < -3 , τότε αβ > 6 . A Ψ
14. 2 - 20αβ + 25β2 ≥ 0. A Ψ
15. (α - 1)2 +(α + 1)2 > 0. Α Ψ
16. 2 - 1)2 +(α + 1)2 > 0. Α Ψ
17. (α + β)2 +(α - β )2 = 0 ⇔ α = β = 0. Α Ψ
18. Αν α · β ≥ 0 , τότε |α + β| = |α| + |β|. Α Ψ
19. Αν α2 = β , τότε $α = \sqrt{β}$. Α Ψ
20. $\sqrt{α^2} = α$. Α Ψ
21. Αν $α \geq 0,$ τότε $(\sqrt{α})^2 = α.$ Α Ψ
22. Αν α · β ≥ 0, τότε μπορούμε πάντοτε να γράφουμε $\sqrt{α \cdot β} = \sqrt{α} \cdot \sqrt{β}.$ Α Ψ
23. Αν β ≥ 0, τότε $\sqrt{α^2 \cdot β} = α \cdot \sqrt{β}.$ Α Ψ
24. $\sqrt{α^2 + β^2} = α +β.$ Α Ψ
25. Αν α ≥ 0, τότε μπορούμε πάντοτε να γράφουμε $\sqrt[6]{α^3} = \sqrt{α}$. Α Ψ
26. Μπορούμε πάντοτε να γράφουμε $\sqrt[4]{α^2} = \sqrt{α}$. Α Ψ
27. 525 > 255 . Α Ψ
28. 1122 > 2211 . Α Ψ
II.

Να επιλέξετε τη σωστή απάντηση σε καθεμιά από τις παρακάτω περιπτώσεις.

 
1.

Αν 2 < x < 5 τότε η παράσταση |x - 2| + |x - 5| είναι ίση με:

Α) 2x - 7        Β) 7 - 2x        Γ) -3        Δ) 3.

2.

Αν 10 < x < 20 τότε η τιμή της παράστασης $\dfrac{\lvert x - 10\rvert}{x - 10} + \dfrac{\lvert x - 20 \rvert}{x - 20}$ είναι ίση με:

Α) 2          Β) -2          Γ) 10          Δ) 0.

3.

Αν $α = \sqrt[6]{10}, β= \sqrt{2}$ και $γ = \sqrt[3]{3}$, τότε:

Α) α < β < γ        Β) α < γ < β        Γ) γ < α < β        Δ) β < γ < α.

4.

Ο αριθμός $\sqrt{9+4\sqrt{5}}$ είναι ίσος με:

Α) $3 + 2\sqrt{5}$        B) $3 + 2\sqrt[4]{5}$        Γ) $2 + \sqrt{5}$        Δ) $2 + \sqrt[ 4 ]{5}$.

III.

Στον παρακάτω άξονα τα σημεία Ο, Ι, Α και Β παριστάνουν τους αριθμούς 0, 1, α και β αντιστοίχως, με 0 < α < 1 και β > 1, ενώ τα σημεία Γ, Δ, Ε, Ζ, Η και Θ παριστάνουν τους αριθμούς $\sqrt{α}$, $\sqrt{β}$, α2 , β2, α3 και β3, όχι όμως με την σειρά που αναγράφονται. Να αντιστοιχίσετε τα σημεία Γ, Δ, Ε, Ζ, Η και Θ με τους αριθμούς που παριστάνουν.

pic0164

ΙΣΤΟΡΙΚΟ ΣΗΜΕΙΩΜΑ

pic0166

Ο «διπλασιασμός του τετραγώνου», δηλαδή η κατασκευή ενός τετραγώνου με εμβαδό διπλάσιο ενός άλλου δοθέντος τετραγώνου, μπορεί να γίνει με μια απλή «γεωμετρική» κατασκευή. Λέγοντας «γεωμετρική» κατασκευή εννοούμε κατασκευή με χάρακα και διαβήτη.

Ωστόσο, η πλευρά β, του τετραγώνου με το διπλάσιο εμβαδό, δεν προκύπτει από την πλευρά α με πολλαπλασιασμό επί ρητό αριθμό. Αυτό σημαίνει ότι δεν υπάρχει ευθύγραμμο τμήμα (ως μονάδα μέτρησης) με το οποίο μπορούμε να μετρήσουμε ακριβώς τα δυο αυτά τμήματα, πλευρά και διαγώνιο τετραγώνου. Η απόδειξη της ύπαρξης άρρητων αριθμών θεωρείται μια από τις σπουδαιότερες ανακαλύψεις των Πυθαγορείων. (Πυθαγόρας: 6ος π. Χ. αιώνας). Οι αρχαίοι Έλληνες είχαν μια βαθειά πίστη ότι πάντοτε δυο ευθύγραμμα τμήματα έχουν κοινό μέτρο. Γι’ αυτό, στα πλαίσια της εποχής εκείνης, η ανακάλυψη αυτή των Πυθαγορείων δεν ήταν απλά και μόνο μια ενδιαφέρουσα μαθηματική πρόταση, αλλά σήμαινε την ανατροπή θεμελιωδών φιλοσοφικών αντιλήψεων για τον κόσμο και τη φύση.

Ήταν κεντρική αντίληψη των Πυθαγορείων ότι η ουσία κάθε όντος μπορεί να αναχθεί σε φυσικούς αριθμούς. Ο νεοπυθαγόρειος Φιλόλαος γύρω στα 450 π.Χ., έγραφε:

«Πραγματικά το καθετί που γνωρίζουμε έχει έναν αριθμό (δηλαδή φυσικό). Αλλιώς θα ήταν αδύνατο να το γνωρίσουμε και να το καταλάβουμε με τη λογική. Το ένα είναι η αρχή του παντός».

Η ανακάλυψη λοιπόν ότι υπάρχουν μεγέθη και μάλιστα απλά, όπως η υποτείνουσα τετραγώνου, τα οποία δεν μπορούν να εκφραστούν στα πλαίσια των φυσικών αριθμών, θεωρήθηκε αληθινή συμφορά για την πυθαγόρεια φιλοσοφία. Χαρακτηριστικοί είναι οι θρύλοι που περιβάλλουν το γεγονός αυτό. Κατά έναν από αυτούς, η ανακάλυψη της ύπαρξης των άρρητων αριθμών έγινε από τον πυθαγόρειο Ίπασσο, όταν αυτός και άλλοι Πυθαγόρειοι ταξίδευαν με πλοίο. Η αντίδραση των Πυθαγορείων ήταν να πνίξουν τον Ίπασσο και να συμφωνήσουν μεταξύ τους να μη διαδοθεί η ανακάλυψη προς τα έξω.

Η υπέρβαση των «δυσκολιών» που φέρνει στα Μαθηματικά η ύπαρξη άρρητων αριθμών, κατέστη δυνατή από τον Εύδοξο (360 π.Χ.) με την ιδιοφυή «θεωρία των Λόγων». Η απόδειξη για το ότι ένας συγκεκριμένος αριθμός είναι άρρητος είναι ένα πρόβλημα που απαιτεί πολλές φορές πολύπλοκούς συλλογισμούς.