Μαθηματικά (Γ΄ Λυκείου Θετικών Σπουδών & Σπουδών Υγείας και Σπουδών Οικονομίας & Πληροφορικής)- Βιβλίο Μαθητή

1 OΡΙΟ - ΣΥΝΕΧΕΙΑ ΣΥΝΑΡΤΗΣΗΣ

1.1 ΠΡΑΓΜΑΤΙΚΟΙ ΑΡΙΘΜΟΙ


Το σύνολο των πραγματικών αριθμών

Υπενθυμίζουμε ότι το σύνολο R των πραγματικών αριθμών αποτελείται από τους ρητούς και τους άρρητους αριθμούς και παριστάνεται με τα σημεία ενός άξονα, τ ο υ ά ξ ο ν α τ ω ν π ρ α γ μ α τ ι κ ώ ν α ρ ι θ μ ώ ν. (Σχ. 1)

Εικόνα

Ρητοί αριθμοί λέγονται οι αριθμοί που έχουν ή μπορούν να πάρουν τη μορφή Εικόνα , όπου α, β ακέραιοι με β ≠0. Το σύνολο των ρητών αριθμών συμβολίζεται με Q . Είναι, δηλαδή,

Q = { Εικόνα| α, β ακέραιοι με β ≠ 0 }.

Υπενθυμίζουμε ότι το σύνολο των ακέραιων αριθμών είναι το

Ζ = {......., 3, 2, 1, 0, 1, 2, 3,.......},

ενώ το σύνολο των φυσικών αριθμών είναι το

Ν = {0, 1, 2, 3,.......}.

Για τα σύνολα Ν, Ζ, Q και R ισχύει:

ΝΖQR
Εικόνα
Τα σύνολα Ν−{0}, Z−{0}, Q−{0} και R−{0}, τα συμβολίζουμε συντομότερα με N*, Z*, Q* και R* αντιστοίχως.

Πράξεις και διάταξη στο R

Στο σύνολο R των πραγματικών αριθμών ορίστηκαν οι πράξεις της πρόσθεσης και του πολλαπλασιασμού και με τη βοήθειά τους η αφαίρεση και η διαίρεση. Οι ιδιότητες των πράξεων αυτών είναι γνωστές από προηγούμενες τάξεις. Στη συνέχεια ορίστηκε η έννοια της διάταξης, οι σπουδαιότερες ιδιότητες της οποίας είναι οι:

1) Αν α ≥ β και β ≥ γ , τότε α ≥ γ

2) α ≥ β ⇔ α + γ ≥ β + γ

3) Εικόνα

4) Εικόνα

5) Αν α, β ≥ 0 και ν ϵ N*, τότε ισχύει η ισοδυναμία:

α ≥ β ⇔ α ν ≥ β ν

6) Εικόνα ≥ 0 ⇔ (α, β ≥ 0 και β ≠0

7) Aν αβ > 0, τότε ισχύει η ισοδυναμία

Εικόνα


Διαστήματα πραγματικών αριθμών

Αν α, β ϵ R με α < β , τότε ονομάζουμε διαστήματα με άκρα τα α, β καθένα από τα παρακάτω σύνολα:

(α, β) = {x ϵ R | α < x < β } : ανοικτό διάστημα Εικόνα
[α, β] = {x ϵ R | α ≤ x ≤ β } : κλειστό διάστημα
[α, β) = {x ϵ R | α ≤ x < β } : κλειστό-ανοικτό διάστημα
(α, β] = {x ϵ R | α < x ≤ β } : ανοικτό-κλειστό διάστημα.

Αν α ϵ R, τότε ονομάζουμε μη φραγμένα διαστήματα με άκρο το α καθένα από τα παρακάτω σύνολα:

(α, +∞) = {x ϵ R | x > α} Εικόνα
[α, +∞) = {x ϵ R | x ≥ α}
(∞, α) = {x ϵ R | x < α}
(∞, α] = {x ϵ R | x ≤ α}

Υπό μορφή διαστήματος το σύνολο R το συμβολίζουμε με (−∞,+∞) .

Τα σημεία ενός διαστήματος Δ, που είναι διαφορετικά από τα άκρα του, λέγονται εσωτερικά σημεία του Δ.


Απόλυτη τιμή πραγματικού αριθμού

Η απόλυτη τιμή ενός πραγματικού αριθμού α, που συμβολίζεται με | α |, ορίζεται ως εξής:

Εικόνα

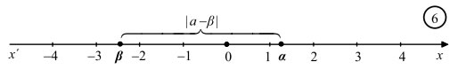
Γεωμετρικά, η απόλυτη τιμή του α παριστάνει την απόσταση του αριθμού α από το μηδέν,

Εικόνα

ενώ η απόλυτη τιμή του α β παριστάνει την απόσταση των αριθμών α και β.

Εικόνα

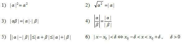
Μερικές από τις βασικές ιδιότητες της απόλυτης τιμής είναι οι εξής:

Εικόνα

ΕΦΑΡΜΟΓΗ

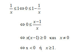
Να γραφούν υπό μορφή διαστήματος ή ένωσης διαστημάτων τα σύνολα:

Εικόνα

ΛΥΣΗ

i) Είναι

Εικόνα

Άρα A = (∞ ,0) ∪ [1, +∞) .

 

ii) Είναι

Εικόνα

Άρα A = (1/3, 1).