Μαθηματικά (Γ΄ Λυκείου Θετικών Σπουδών & Σπουδών Υγείας και Σπουδών Οικονομίας & Πληροφορικής)- Βιβλίο Μαθητή

2.5 TO ΘΕΩΡΗΜΑ ΜΕΣΗΣ ΤΙΜΗΣ

Στην παράγραφο αυτή θα γνωρίσουμε ένα από τα πλέον βασικά θεωρήματα του Διαφορικού Λογισμού που είναι γνωστό ως Θεώρημα Μέσης Τιμής. Αρχικά διατυπώνουμε το Θεώρημα του Rolle, το οποίο είναι ειδική περίπτωση του Θεωρήματος Μέσης Τιμής και στη συνέχεια διατυπώνουμε το Θεώρημα Μέσης Τιμής, το οποίο αποδεικνύεται με τη βοήθεια του Θεωρήματος του Rolle.

ΘΕΩΡΗΜΑ (Rolle)

Αν μια συνάρτηση f είναι :

   συνεχής στο κλειστό διάστημα [α, β]

   παραγωγίσιμη στο ανοικτό διάστημα (α, β) και

   f(α) = f(β)

τότε υπάρχει ένα, τουλάχιστον, ξ ϵ (α, β) τέτοιο, ώστε :

f ʹ(ξ) = 0

Γεωμετρικά, αυτό σημαίνει ότι υπάρχει ένα, τουλάχιστον, ξ ϵ (α,β) τέτοιο, ώστε η εφαπτομένη της Cf  στο  M(ξ, f(ξ)) να είναι παράλληλη στον άξονα των x.   Εικόνα
 

 

Για παράδειγμα, έστω η συνάρτηση

   f(x) = x 2 − 4x + 5,   x ϵ [1,3].   (Σχ. 19)

Επειδή η f είναι συνεχής στο [1,3], παραγωγίσιμη στο (1,3), με  f ʹ(x) = 2x − 4  και f(1) = 2 = f(3), σύμφωνα με το θεώρημα Rolle, θα υπάρχει ένας αριθμός ξ ϵ (1, 3) τέτοιος, ώστε f ʹ(ξ) = 0.

Για την εύρεση του αριθμού ξ, έχουμε :

   f ʹ(ξ) = 0  ⇔  2ξ − 4 = 0  ⇔  ξ = 2 .

  Εικόνα

 

ΘΕΩΡΗΜΑ (Μέσης Τιμής Διαφορικού Λογισμού Θ.Μ.Τ.)

Αν μια συνάρτηση f είναι :

   συνεχής στο κλειστό διάστημα [α, β]

   παραγωγίσιμη στο ανοικτό διάστημα (α, β) και

τότε υπάρχει ένα, τουλάχιστον, ξ ϵ (α, β) τέτοιο, ώστε :

Εικόνα
Γεωμετρικά, αυτό σημαίνει ότι υπάρχει ένα, τουλάχιστον, ξ ϵ (α,β) τέτοιο, ώστε η εφαπτομένη της γραφικής παράστασης της f στο  M(ξ, f(ξ)) να είναι παράλληλη της ευθείας ΑΒ.   Εικόνα
 

Για παράδειγμα, έστω η συνάρτηση   Εικόνα
Εικόνα
Επειδή η f είναι συνεχής στο [0,4] και παραγωγίσιμη στο (0,4), με Εικόνα , σύμφωνα με το θεώρημα μέσης τιμής, θα υπάρχει ένας αριθμός ξ ϵ (0,4) τέτοιος, ώστε
Εικόνα
Για την εύρεση του αριθμού ξ, έχουμε :
Εικόνα


ΕΦΑΡΜΟΓΕΣ

1. Nα αποδειχτεί ότι:

i) Η συνάρτηση f(x) = λx3 + x2 − (λ+1)x,   λ ϵ R*, ικανοποιεί τις υποθέσεις του θεωρήματος του Rolle στο διάστημα [0,1].

ii) Η εξίσωση f(x) = 3λx2 + 2x − (λ+1) = 0,   λ ϵ R*  έχει μια, τουλάχιστον, ρίζα στο διάστημα (0,1).


ΑΠΟΔΕΙΞΗ

i) Η συνάρτηση f ικανοποιεί τις υποθέσεις του θεωρήματος Rolle στο [0,1] αφού

είναι συνεχής στο  [0,1]  ως πολυωνυμική

είναι παραγωγίσιμη στο  (0,1)  με  f ʹ(x) = 3λx2 + 2x − (λ+1)  και

ισχύει f(0) = f(1) = 0.

ii) Αφού, λοιπόν, για τη συνάρτηση f(x) = λx3 + x2 − (λ+1)x,  λ ϵ R*, ισχύουν οι υποθέσεις του θεωρήματος Rolle, θα υπάρχει  ξ ϵ (0,1)  τέτοιο, ώστε f ʹ(ξ) = 0 ή, ισοδύναμα, 3λξ2 + 2ξ − (λ+1) = 0. Επομένως, το ξ ϵ (0,1) θα είναι ρίζα της εξίσωσης  3λx2 + 2x − (λ+1) = 0.

2. Να αποδειχτεί ότι για τη συνάρτηση f(x) = αx2 + βx + γ,   α ≠ 0 και για οποιοδήποτε διάστημα [x1,x2], ο αριθμός x0 ϵ (x1, x2), που ικανοποιεί το συμπέρασμα του Θεωρήματος Μέσης Τιμής, είναι το κέντρο του διαστήματος [x1, x2], δηλαδή είναι Εικόνα .

ΑΠΟΔΕΙΞΗ

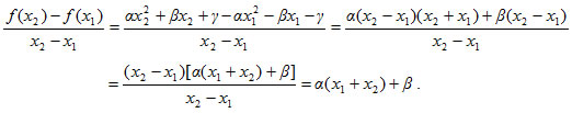
Η συνάρτηση f(x) = αx2 + βx + γ είναι συνεχής στο [x1,x2] ως πολυωνυμική και παραγωγίσιμη στο (x1,x2), με f ʹ(x) = 2αx +β. Επομένως, σύμφωνα με το θεώρημα μέσης τιμής υπάρχει x0 ϵ (x1, x2), τέτοιο, ώστε

Εικόνα

Είναι όμως :

Εικόνα

Επομένως, η σχέση (1) γράφεται :

Εικόνα


3. Ένα αυτοκίνητο διήνυσε μία διαδρομή 200 χιλιομέτρων σε 2,5 ώρες. Να αποδειχθεί ότι κάποια χρονική στιγμή, κατά τη διάρκεια της διαδρομής, η ταχύτητα του αυτοκινήτου ήταν 80 χιλιόμετρα την ώρα.

ΑΠΟΔΕΙΞΗ

Έστω x = S(t),  t ϵ [0, 2,5]  η συνάρτηση θέσης του κινητού. Αρκεί να δείξουμε ότι υπάρχει t0 ϵ [0, 2,5] , τέτοια ώστε  υ( t0) = Sʹ(t0) = 80.
Η συνάρτηση S είναι συνεχής στο [0, 2,5] και παραγωγίσιμη στο (0, 2,5). Επομένως, σύμφωνα με το Θεώρημα Μέσης Τιμής υπάρχει  t0 ϵ (0, 2,5)  τέτοιο, ώστε

Εικόνα

ΑΣΚΗΣΕΙΣ

Α΄ ΟΜΑΔΑΣ

1. Nα εξετάσετε ποιες από τις παρακάτω συναρτήσεις ικανοποιούν τις υποθέσεις του θεωρήματος Rolle στο διάστημα που αναφέρεται, και στη συνέχεια, για εκείνες που ισχύει, να βρείτε όλα τα ξ ϵ (α, β) για τα οποία ισχύει f ʹ(ξ) .

Εικόνα

2. Να εξετάσετε, ποιές από τις παρακάτω συναρτήσεις ικανοποιούν τις υποθέσεις του Θεωρήματος Μέσης Τιμής στο διάστημα που αναφέρεται και στη συνέχεια, για εκείνες που ισχύει το θεώρημα, να βρείτε όλα ξ ϵ (α, β) τα για τα οποία ισχύει Εικόνα.

Εικόνα

3. Αν α < β, να αποδείξετε ότι οι συναρτήσεις f(x) = ex και g(x) = lnx ικανοποιούν τις υποθέσεις του Θ.Μ.Τ. στο διάστημα [α,β] και στη συνέχεια ότι :

Εικόνα

Για τη συνάρτηση g(x) = lnx υποθέτουμε επιπλέον ότι 0 < α < β.

Β΄ ΟΜΑΔΑΣ

 

1. Δίνεται η συνάρτηση f(x) = x4 − 20x3 − 25x2 − x +1

i) Να αποδείξετε ότι η εξίσωση f(x) = 0 έχει μια, τουλάχιστον, ρίζα στο διάστημα (−1,0) και μια, τουλάχιστον, στο διάστημα (0,1).

ii) Να αποδείξετε ότι η εξίσωση 4x3 − 60x2 − 50x − 1 = 0 έχει μια, τουλάχιστον, ρίζα στο διάστημα (−1,1).

2. Δίνεται η συνάρτηση f(x) = (x − 1)ημx. Να αποδείξετε ότι :

i) Η εξίσωση f ʹ(x) = 0 έχει μια, τουλάχιστον, ρίζα στο ανοικτό διάστημα (0,1).

ii) Η εξίσωση  εφx = 1−x  έχει μια, τουλάχιστον, ρίζα στο ανοικτό διάστημα (0,1)

3. i) Δίνεται μια συνάρτηση f με f ʹ(x) ≠ 1 για κάθε  x ϵ R. Να αποδείξετε ότι η εξίσωση f(x) = x έχει το πολύ μια πραγματική ρίζα.

ii) Να αποδείξετε ότι η εξίσωση  Εικόνα  αληθεύει μόνο για x = 0.

4. i) Να αποδείξετε ότι Εικόνα , για κάθε  x ϵ R.
ii) Aν f είναι μία συνάρτηση παραγωγίσιμη στο R, με Εικόνα , να αποδείξετε ότι για όλα τα  α, β ϵ R  ισχύει :

Εικόνα

5. Έστω μια συνάρτηση f η οποία είναι συνεχής στο [0,4] και ισχύει 2 ≤ f ʹ(x) ≤ 5 για κάθε x ϵ (0,4). Αν f(0) = 1, να αποδείξετε ότι 9 ≤ f(4) ≤ 21.

6. Έστω μια συνάρτηση f η οποία είναι συνεχής στο [−1,1] και ισχύει f ʹ(x) ≤ 1 για κάθε x ϵ (−1,1). Αν f(−1) = −1 και f(1) = 1, να αποδείξετε ότι f(0) = 0, εφαρμόζοντας το Θ.Μ.Τ. για την f σε καθένα από τα διαστήματα [−1,0] και [0,1].

7. Να αποδείξετε με το θεώρημα του Rolle ότι οι γραφικές παραστάσεις των συναρτήσεων

f(x) = 2 x και g(x) = − x2 + 2x +1

έχουν ακριβώς δυο κοινά σημεία τα A(0,1) , B(1,2).