Φυσική (A Λυκείου) - Βιβλίο Μαθητή (Εμπλουτισμένο)
 

1.1

ΜΗΧΑΝΙΚΗ

Ευθύγραμμη κίνηση

Ευθύγραμμη κίνηση

 

Πώς θα μπορούσε να περιγραφεί η κίνηση ενός αγωνιστικού αυτοκινήτου; Πόσο γρήγορα κινείται η μπάλα που κλώτσησε ένας ποδοσφαιριστής; Απαντήσεις σε τέτοια ερωτήματα δίνει η Κινηματική η οποία περιγράφει τις κινήσεις των σωμάτων.

Στο κεφάλαιο αυτό θα μελετήσουμε την ευθύγραμμη κίνηση, δηλαδή την κίνηση που γίνεται σε ευθεία γραμμή. Θα αναζητήσουμε τις σχέσεις μεταξύ ταχύτητας - χρόνου και θέσης - χρόνου, ώστε να μπορούμε σε κάθε χρονική στιγμή να προσδιορίζουμε τη θέση και την ταχύτητα ενός κινητού. Έτσι θα αποκτήσουμε τη δυνατότητα να απαντάμε σε ερωτήματα που εμφανίζονται στην καθημερινή μας ζωή και έχουν σχέση με την ταχύτητα, την επιτάχυνση, τη θέση ή το χρόνο κίνησης ενός κινητού.

ΠΕΡΙΕΧΟΜΕΝΑ

  • 1.1.1

    Ύλη και κίνηση

  • 1.1.2

    O προσδιορισμός της θέσης ενός σωματίου

  • 1.1.3

    Οι έννοιες της χρονικής στιγμής, του συμβάντος και της χρονικής διάρκειας

  • 1.1.4

    H μετατόπιση σωματίου πάνω σε άξονα

  • 1.1.5

    H έννοια της ταχύτητας στην ευθύγραμμη ομαλή κίνηση

  • 1.1.6

    H έννοια της μέσης ταχύτητας

  • 1.1.7

    H έννοια της στιγμιαίας ταχύτητας

  • 1.1.8

    H έννοια της επιτάχυνσης στην ευθύγραμμη ομαλά μεταβαλλόμενη κίνηση

  • 1.1.9

    Οι εξισώσεις προσδιορισμού της ταχύτητας και της θέσης ενός κινητού στην ευθύγραμμη ομαλά μεταβαλλόμενη κίνηση

  •  

    Ένθετο: To θεώρημα Merton

  • Περίληψη

  • Ερωτήσεις

  • Ασκήσεις - Προβλήματα

Ευθύγραμμη κίνηση

 

1.1.1 

Υλη και κίνηση

Μια χαρακτηριστική ιδιότητα της ύλης είναι η κίνηση, τόσο στα μικροσκοπικά σωμάτια (στο μικρόκοσμο), όσο και στα σώματα αισθητών διαστάσεων (στο μακρόκοσμο). Τα άτομα του ακίνητου βιβλίου που έχετε μπροστά σας ταλαντώνονται γύρω από μια θέση ισορροπίας. Τα στοιχειώδη σωμάτια από τα οποία αποτελείται το άτομο (ηλεκτρόνια, πρωτόνια κ.α.) κινούνται κι αυτά. Τα μόρια των ρευστών (υγρών και αερίων) βρίσκονται σε μία διαρκή άτακτη κίνηση.

Αλλά και στο μακρόκοσμο η κίνηση είναι το χαρακτηριστικό γνώρισμα της ύλης. Τα σώματα που βρίσκονται πάνω στη Γη και φαίνονται ακίνητα, στην πραγματικότητα κινούνται, αφού συμμετέχουν στην περιστροφή της γύρω από τον άξονά της, αλλά και στην περιφορά της γύρω από τον ήλιο. Σε μεγαλύτερη κλίμακα ο ήλιος και οι πλανήτες κινούνται μέσα στο γαλαξία και όλοι οι γαλαξίες κινούνται αιώνια μέσα στο σύμπαν, εικόνα 1.1.1.

Δεν υπάρχει, ύλη που να παραμένει ακίνητη στο σύμπαν ή περισσότερο φιλοσοφικά: η κίνηση είναι τρόπος ύπαρξης της ύλης.

Η κίνηση είναι έννοια σχετική, δηλαδή η περιγραφή της εξαρτάται από το σύστημα στο οποίο αναφερόμαστε. Παραδείγματος χάρη στον εθνικό δρόμο Αθηνών Κορίνθου, δύο αυτοκίνητα κινούνται πλάι-πλάι, χωρίς το ένα να προσπερνά το άλλο, εικόνα 1.1.2.

Εικόνα 1.1.2 Το ένα αυτοκίνητο είναι ακίνητο ως προς το άλλο.

Εικόνα 1.1.2Το ένα αυτοκίνητο είναι ακίνητο ως προς το άλλο.

Για έναν ακίνητο παρατηρητή που βρίσκεται στο δρόμο τα δύο αυτοκίνητα κινούνται με την ίδια ταχύτητα. Αντίθετα για ένα παρατηρητή που βρίσκεται στο ένα από τα δύο. Δηλαδή ένα σώμα θα λέμε ότι κινείται, όταν αλλάζει συνεχώς θέσεις, ως προς ένα παρατηρητή (σύστημα αναφοράς) που θεωρούμε ακίνητο.

 

Εικόνα 1.1.1 Ο Γαλαξίας της Ανδρομέδας

Εικόνα 1.1.1

Ο Γαλαξίας της Ανδρομέδας.

Ευθύγραμμη κίνηση

 

Εικόνα 1.1.3 Η αμαξοστοιχία μπορεί να θεωρηθεί σαν σωμάτιο.

Εικόνα 1.1.3

Η αμαξοστοιχία μπορεί να θεωρηθεί σαν σωμάτιο.

 

Εικόνα

 

Η τροχιά ενός σώματος που κινείται είναι το σύνολο των διαδοχικών θέσεων από τις οποίες διέρχεται το σώμα.

Αν η τροχιά είναι ευθεία, τότε η κίνηση χαρακτηρίζεται ως ευθύγραμμη, ενώ αν είναι καμπύλη ως καμπυλόγραμμη.

1.1.2 

Ο προσδιορισμός της θέσης ενός σωματίου

α. Η έννοια του σωματίου ή σημειακού αντικειμένο.

Πολλές φορές οι διαστάσεις των αντικειμένων, δε μας βοηθούν στη μελέτη της κίνησής τους. Για παράδειγμα στις ερωτήσεις “πού βρίσκεται κάποια χρονική στιγμή μια αμαξοστοιχία;”, “πόσο μετατοπίστηκε ένα αυτοκίνητο;”, δεν μπορούμε να απαντήσουμε, αν δεν αναφερθούμε σε κάποιο σημείο τους, (π.χ. την αρχή ή το τέλος τους). Αυτό μας οδήγησε στη σκέψη να θεωρούμε πολλές φορές τα αντικείμενα ως σωμάτια ή σημειακά αντικείμενα.

Σωμάτιο ή σημειακό αντικείμενο είναι η αναπαράσταση (μοντέλο) ενός αντικειμένου με ένα σημείο.

Έτσι, αν θεωρήσουμε την αμαξοστοιχία που φαίνεται στην εικόνα 1.1.3 σαν σωμάτιο, μπορούμε να πούμε ότι τη χρονική στιγμή π.χ. 10h, 15min, 10s πέρασε από το εικοστό χιλιόμετρο της διαδρομής Αθηνών - Κορίνθου.

Στη συνέχεια, για λόγους απλότητας, τα σώματα των οποίων μελετάμε την κίνηση θα τα ονομάζουμε κινητά ή σωμάτια ανεξάρτητα από τις διαστάσεις τους.

β. Προσδιορισμός της θέσης σωματίου σε ευθεία γραμμή.

Στην καθημερινή μας ζωή, για να προσδιορίσουμε τη θέση ενός αντικειμένου στο χώρο, χρησιμοποιούμε τις εκφράσεις “δίπλα στο…”, “πάνω από…”, “δεξιά από…”, κ.α. Παραδείγματος χάρη “το ποτήρι βρίσκεται πάνω στο τραπέζι, δίπλα στο ανθοδοχείο”. Δηλαδή, πάντα αναφερόμαστε σε κάποιο άλλο αντικείμενο.

Έτσι και στη Φυσική, για να προσδιορίσουμε τη θέση ενός σωματίου, πρέπει να αναφερθούμε σε κάποιο σημείο, που το θεωρούμε ως σημείο αναφοράς.

Στη Φυσική όμως δεν αρκεί ο ποιοτικός προσδιορισμός της θέσης παραδείγματος χάρη, “δίπλα στο σημείο Ο”. Απαιτείται ο ακριβής ποσοτικός προσδιορισμός της, που προκύπτει από μετρήσεις.

Ευθύγραμμη κίνηση

 

Για να προσδιορίσουμε τη θέση ενός σωματίου, που βρίσκεται ή κινείται σε ευθεία γραμμή, πρέπει να ορίσουμε ένα σημείο αναφοράς ή αρχή, για τις μετρήσεις μας. Επίσης πρέπει να προσδιορίσουμε, αν το σωμάτιο κινείται δεξιά ή αριστερά, σε σχέση με την αρχή. Μπορούμε κατά σύμβαση να συμβολίσουμε το δεξιά με (+) και το αριστερά με (–).

Στην εικόνα 1.1.4 φαίνεται η ευθεία πάνω στην οποία μπορεί να κινείται ένα σωμάτιο, όπου η κίνηση μπορεί να γίνεται δεξιά ή αριστερά του σημείου Ο.

Εικόνα 1.1.4 Ένα σύστημα αναφοράς σε ευθεία γραμμή.

Εικόνα 1.1.4

Ένα σύστημα αναφοράς σε ευθεία γραμμή.

Τοποθετούμε πάνω στην ευθεία δυο μετροταινίες με την αρχή τους στο Ο, μια δεξιά του και μια αριστερά του. Οι δύο μετροταινίες μαζί με το σημείο Ο (αρχή), αποτελούν ο σύστημα αναφοράς. Η θέση του σωματίου στο συγκεκριμένο σύστημα αναφοράς, προσδιορίζεται με έναν αριθμό, ο οποίος συμβολίζεται με το γράμμα x και ο οποίος μπορεί να πάρει θετικές ή αρνητικές τιμές. Παραδείγματος χάρη, αν το σωμάτιο βρίσκεται στο σημείο Μ ή το σημείο Μ′, η θέση του θα είναι x = +4cm ή x = -3cm αντίστοιχα.

Εικόνα

Δραστηριότητα

Τοποθετείστε ένα μολύβι, πάνω στο θρανίο σας όπως φαίνεται στην εικόνα. Ορίστε σημείο αναφοράς πάνω στην ευθεία που ορίζει το μολύβι και προσδιορίστε με τη βοήθεια ενός κανόνα τις θέσεις των άκρων του μολυβιού.

Εικόνα

Να επαναλάβετε την ίδια διαδικασία ορίζοντας ως σημείο αναφοράς κάποιο σημείο του μολυβιού.

γ. Προσδιορισμός της θέσης στο επίπεδο.

Για να προσδιορίσουμε τη θέση ενός σωματίου, που βρίσκεται στο επίπεδο, χρειάζονται δύο άξονες και, κατ' αντιστοιχία με τα παραπάνω, τέσσερις μετροταινίες και δύο μετρήσεις. Το σύστημα αναφοράς τώρα είναι ένα ορθογώνιο σύστημα συντεταγμένων (λέγεται Καρτεσιανό, όπως γνωρίζουμε από τα Μαθηματικά).

 

Ευθύγραμμη κίνηση

 

Δραστηριότητα

Προσδιορίστε τη θέση μιας γομολάστιχας που βρίσκεται πάνω στο θρανίο σας, επιλέγοντας ένα κατάλληλο κατά την κρίση σας ορθογώνιο σύστημα συντεταγμένων.

 

Εικόνα

 

Η θέση του σωματίου Μ, προσδιορίζεται με δύο αριθμούς (x, y) που ονομάζονται συντεταγμένες του Μ (Εικ. 1.1.5). Για να βρούμε παραδείγματος χάρη, τη θέση του σημείου Μ, φέρνουμε από αυτό κάθετες πάνω στους άξονες x, y. Τα ίχνη των καθέτων αυτών πάνω στους άξονες x, y, αντιστοιχούν στους αριθμούς 4 και 3.

Εικόνα 1.1.5 Προσδιορισμός της θέσης ενός σημείου στο επίπεδο, με τη βοήθεια ορθογώνιου συστήματος συντεταγμένων.

Εικόνα 1.1.5

Προσδιορισμός της θέσης ενός σημείου στο επίπεδο, με τη βοήθεια ορθογώνιου συστήματος συντεταγμένων.

Το διατεταγμένο ζεύγος αριθμών (4, 3) αποτελεί τις συντεταγμένες του σημείου Μ, και προσδιορίζει τη θέση του στο επίπεδο.

1.1.3 

Οι έννοιες της χρονικής στιγμής, του συμβάντος και της χρονικής διάρκειας

α. Χρονική στιγμή.

Πότε περνάει ένα κινητό από μια ορισμένη θέση; Για να απαντήσουμε στο παραπάνω ερώτημα χρειαζόμαστε ένα ρολόι ή ένα χρονόμετρο. Η ένδειξη του ρολογιού ή του χρονομέτρου μας λέει “το πότε” το κινητό πέρασε από τη συγκεκριμένη θέση και ονομάζεται χρονική στιγμή.

Η έννοια της χρονικής στιγμής στη Φυσική αντιστοιχεί στην ένδειξη του ρολογιού ή του χρονομέτρου και δεν έχει διάρκεια, αντίθετα με την καθημερινή ζωή όπου η έκφραση “περίμενε μια στιγμή”, μπορεί να σημαίνει, περίμενε μερικά λεπτά ή ακόμη περισσότερο. Η χρονική στιγμή συμβολίζεται με το γράμμα t.

Ευθύγραμμη κίνηση

 

β. To συμβάν (ή γεγονός).

Έστω ένα κινητό που κινείται σε ευθεία γραμμή και βρίσκεται στη θέση x = +3cm τη χρονική στιγμή t = 2s (Εικ. 1.1.6). Αυτό αποτελεί ένα συμβάν ή γεγονός και συμβολίζεται Σ(3cm, 2s) ή γενικά Σ(x, t).

Εικόνα 1.1.6

Εικόνα 1.1.6

Η σύγκρουση δύο αυτοκινήτων που έγινε στο πεντηκοστό χιλιόμετρο της Εθνικής οδού Θεσσαλονίκης - Αλεξανδρούπολης στις εννέα και δέκα το πρωί της 10-8-98, είναι ένα γεγονός ή συμβάν (Εικ. 1.1.7).

γ. Χρονική διάρκεια.

Ας υποθέσουμε πως ένα κινητό κινείται στον άξονα xx′, (Εικ. 1.1.6) και διέρχεται από τις θέσεις x1 = +3cm και x2 = +6cm τις χρονικές στιγμές t1 = 2s και t2 = 4s αντίστοιχα. Η μεταβολή Δt των χρονικών στιγμών διέλευσης του κινητού από τις παραπάνω θέσεις, ονομάζεται χρονική διάρκεια της κίνησής του μεταξύ των θέσεων αυτών. Δηλαδή:

Δt = t2 - t1 = 4s - 2s   ή   Δt = 2s.

Δραστηριότητα

Αναγκάστε μια μικρή σφαίρα να κινηθεί μέσα στο αυλάκι (θέση μολυβιών) που υπάρχει στο θρανίο σας. Κατά μήκος του αυλακιού σημειώστε τρία σημεία Μ1, Μ2, Μ3, όπως φαίνεται στην εικόνα. Απαντήστε στα παρακάτω ερωτήματα:

Εικόνα

 

Εικόνα 1.1.7 H σύγκρουση των αυτοκινήτων που έγινε σε μιά συγκεκριμένη θέση και χρονική στιγμή είναι ένα συμβάν.

Εικόνα 1.1.7

H σύγκρουση των αυτοκινήτων που έγινε σε μιά συγκεκριμένη θέση και χρονική στιγμή είναι ένα συμβάν.

Ευθύγραμμη κίνηση

 

Η σύγχρονη τεχνολογία χρησιμοποιείται στον ακριβή προσδιορισμό των χρονικών στιγμών που ένα σώμα διέρχεται από διάφορες θέσεις.

Η σύγχρονη τεχνολογία χρησιμοποιείται στον ακριβή προσδιορισμό των χρονικών στιγμών που ένα σώμα διέρχεται από διάφορες θέσεις.

 

α) 

Προσδιορίστε τις θέσεις των σημείων Μ1, Μ2, Μ3.

β) 

Ποιες χρονικές στιγμές η σφαίρα περνά από τα σημεία αυτά;

 

Σύμφωνα με όσα είπαμε στις προηγούμενες παραγράφους, προκύπτει, ότι πρέπει να χρησιμοποιήσουμε μια μετροταινία που θα την τοποθετήσουμε πάνω στο θρανίο και θα είναι το σύστημα αναφοράς για να βρούμε τις θέσεις των σημείων Μ1, Μ2, Μ3. Επίσης χρειαζόμαστε και τρεις μαθητές παρατηρητές.

 

Ας ξεκινήσουμε: πρώτα ας βρούμε τις θέσεις των σημείων Μ1, Μ2, Μ3. Την αρχή της μετροταινίας, άρα και αρχή του συστήματος αναφοράς, μπορούμε να την τοποθετήσουμε είτε στο Α, είτε στο Μ, είτε σε κάποιο σημείο ανάμεσά τους, είτε σε κάποιο σημείο ανάμεσα στα Α και Β, είτε οπουδήποτε αλλού θέλουμε. Για λόγους ευκολίας όμως προτιμότερο είναι η αρχή να τοποθετηθεί στο σημείο Μ που είναι το πρώτο σημείο (η αρχική θέση) που μας ενδιαφέρει.

Διαβάζουμε τους αριθμούς της μετροταινίας που συμπίπτουν με τα σημεία, και έτσι βρίσκουμε:

Θέση Μ1: x1 = …cm

Θέση Μ2: x2 = …cm

Θέση Μ3: x3 = …cm

Στη συνέχεια οι τρεις μαθητές, που τοποθετούνται κοντά στα σημεία Μ1, Μ2, Μ3, ξεκινούν τα χρονόμετρά τους, όταν η σφαίρα ξεκινάει από το σημείο Α ή για ευκολία όταν η σφαίρα περνά από το Μ και τα σταματούν μόλις η σφαίρα περνά από τα σημεία που τους αντιστοιχούν. Έτσι βρίσκουν:

Χρονική στιγμή t1 = 0s (δηλαδή ο πρώτος μαθητής (παρατηρητής) δε χρειάζεται.)

Χρονική στιγμή t2 = …s.

Χρονική στιγμή t3 = …s.

Τελικά προκύπτουν τα ζεύγη τιμών, που περιγράφουν τα αντίστοιχα συμβάντα, καθώς η σφαίρα κινείται κατά μήκος της ευθείας ΑΒ.

1.1.4 

Η μετατόπιση σωματίου πάνω σε άξονα

Ας θεωρήσουμε ένα σωμάτιο που κινείται στην ευθεία xx′, όπως φαίνεται στην εικόνα 1.1.8. Υποθέτουμε ότι το σωμάτιο μετακινήθηκε από ένα αρχικό σημείο Μ1 σ' ένα άλλο σημείο Μ2 των οποίων οι θέσεις είναι: x1 = +8cm και x2 = +10cm, αντίστοιχα.

Ευθύγραμμη κίνηση

 

Εικόνα 1.1.8 Η μετατόπιση είναι διάνυσμα.

Εικόνα 1.1.8

Η μετατόπιση είναι διάνυσμα.

Ορίζουμε ως μετατόπιση Δx του σωματίου πάνω στην ευθεία κίνησής του τη διαφορά x2 - x1.

Δηλαδή: Δx = x2 - x1 = +10cm - 8cm = +2cm.

Αν υποθέσουμε ότι το σωμάτιο μετακινήθηκε από το σημείο Μ1 έως το σημείο Μ3, του οποίου η θέση είναι x3 = +2cm, τότε η μετατόπισή του θα είναι:

 

Δx′ = x3 - x1= +2cm - 8cm = -6cm.

 

Το πρόσημο (+) στην πρώτη μετατόπιση σημαίνει ότι το σωμάτιο μετακινήθηκε προς τα δεξιά, ενώ το πρόσημο (-) στη δεύτερη μετατόπιση σημαίνει ότι το σωμάτιο κινήθηκε προς τα αριστερά.

Η μετατόπιση είναι διάνυσμα που έχει αρχή την αρχική θέση του κινητού και τέλος την τελική του θέση.

Έτσι στην πρώτη περίπτωση η μετατόπιση Εικόνα είναι το διάνυσμα με αρχή Μ1, τέλος το σημείο Μ2 και αλγεβρική τιμή Δx = +2cm. Ομοίως, στη δεύτερη περίπτωση η μετατόπιση Εικόνα είναι το διάνυσμα που έχει αρχή το σημείο Μ1, τέλος το σημείο Μ3 και αλγεβρική τιμή Δx′ = -6 cm (Εικ. 1.1.8).

 

Σημείωση:

Μπορούμε να καθορίσουμε τη θέση ενός κινητού με ένα διάνυσμα Εικόνα, που έχει αρχή το σημείο αναφοράς (Ο) και τέλος το σημείο Μ στο οποίο βρίσκεται το κινητό. Στην περίπτωση αυτή η μετατόπιση Εικόνα του κινητού από μια θέση Εικόνα μέχρι μια άλλη θέση Εικόνα ορίζεται ως:

 

Εικόνα

 
 

Κατά τη διάρκεια μιας ευθύγραμμης κίνησης είναι δυνατόν η φορά της να αντιστραφεί. Παραδείγματος χάρη, όπως φαίνεται στην εικόνα 1.1.9, το κινητό ξεκινά από τη θέση x1 = +2cm και αφού φτάσει στη θέση +7cm επιστρέφει τελικά στη θέση x2 = -2cm.

Εικόνα 1.1.9 Η μετατόπιση και το διάστημα (απόσταση) δεν ταυτίζονται όταν αλλάζει η φορά της κίνησης.

Εικόνα 1.1.9

Η μετατόπιση και το διάστημα (απόσταση) δεν ταυτίζονται όταν αλλάζει η φορά της κίνησης.

 

Ευθύγραμμη κίνηση

 

Δραστηριότητα

Ένα λεωφορείο ξεκινά από την αφετηρία και αφού διανύσει διάστημα 4km επιστρέφει πάλι σ' αυτή ακολουθώντας την ίδια διαδρομή.

α) 


Ποιο είναι το συνολικό διάστημα που διάνυσε το λεωφορείο;

β) 

Ποια είναι η μετατόπισή του;

 

Ποια νομίζετε ότι είναι στην περίπτωση αυτή η μετατόπιση Δx του κινητού; Στη Φυσική, ανεξάρτητα από τη διαδρομή που ακολουθεί ένα κινητό για να υπολογίσουμε τη μετατόπιση του αφαιρούμε από την τελική θέση την αρχική. Δηλαδή: Δx = x2 - x1

Έτσι στο παραπάνω παράδειγμα η ζητούμενη μετατόπιση είναι:

 

Δx = x2 - x1 = -2cm - 2cm     ή

 

Δx = -4cm

 

Αυτό σημαίνει ότι το κινητό μετατοπίστηκε κατά 4cm προς τα αριστερά.

Στην ίδια κίνηση το διάστημα (απόσταση) που διάνυσε το κινητό είναι s = 5cm + 7cm + 2cm = 14cm.

Δηλαδή το διάστημα δεν ταυτίζεται πάντοτε με τη μετατόπιση του κινητού.

 

Γενικεύοντας τονίζουμε ότι, το συμπέρασμα στο οποίο καταλήξαμε ισχύει για όλες τις κινήσεις, εκτός από την ευθύγραμμη κίνηση σταθερής φοράς, όπου το διάστημα και η μετατόπιση ταυτίζονται.

Επιπλέον το διάστημα (απόσταση) είναι μέγεθος μονόμετρο, ενώ η μετατόπιση είναι μέγεθος διανυσματικό.

Εικόνα

1.1.5 

Η έννοια της ταχύτητας στην ευθύγραμμη ομαλή κίνηση

Για να περιγράψουμε τις κινήσεις και για να τις συγκρίνουμε μεταξύ τους, χρειαζόμαστε και άλλες έννοιες εκτός από τη θέση, τη χρονική στιγμή, τη μετατόπιση και τη χρονική διάρκεια. Παραδείγματος χάρη, πώς θα απαντήσουμε στο ερώτημα: από δύο αυτοκίνητα που κινούνται κατά μήκος μιας ευθείας οδού, έτσι ώστε το καθένα σε ίσα, πολύ μικρά χρονικά διαστήματα, να διανύει ίσες μετατοπίσεις (Εικ. 1.1.10α), ποιο κινείται γρηγορότερα;

Ένας τρόπος να απαντήσουμε είναι να μετρήσουμε τη μετατόπιση και τη χρονική διάρκειά της για καθένα από τα δύο αυτοκίνητα και στη συνέχεια να κάνουμε τις αντίστοιχες συγκρίσεις. Είναι όμως αυτό αρκετό; Ας υποθέσουμε ότι το ένα αυτοκίνητο διανύει την απόσταση Δx = ΑΓ = 200m σε χρόνο Δt = 20s, ενώ το δεύτερο διανύει την απόσταση Δx′ = Α′Γ′ = 120m σε χρόνο Δt′ = 10s (Εικ. 1.1.10β).

Εικόνα 1.1.10α Σε ίσους χρόνους το αυτοκίνητο διανύει ίσα διαστήματα.

Εικόνα 1.1.10α

Σε ίσους χρόνους το αυτοκίνητο διανύει ίσα διαστήματα.

Ευθύγραμμη κίνηση

 

Εικόνα 1.1.10β Τα δύο κινητά διανύουν τις αποστάσεις ΑΓ, Α΄ Γ΄ σε διαφορετικούς χρόνους.

Εικόνα 1.1.10β

Τα δύο κινητά διανύουν τις αποστάσεις ΑΓ, Α′ Γ′ σε διαφορετικούς χρόνους.

Η σύγκριση των μετατοπίσεων των δύο αυτοκινήτων και της αντίστοιχης χρονικής διάρκειας της κίνησής τους είναι δύσκολο να δώσει απάντηση στο ερώτημα.

Αν όμως αναχθούμε στην ίδια χρονική διάρκεια Δt, τότε η σύγκριση προφανώς θα είναι εύκολη, εφόσον η κίνηση στην οποία έχουμε μεγαλύτερη μετατόπιση, θα είναι γρηγορότερη. Έτσι επιλέγουμε χρονική διάρκεια Δt = 1s. Η αναγωγή γίνεται όπως γνωρίζουμε με διαίρεση της μετατόπισης Δx με την αντίστοιχη χρονική διάρκεια Δt.

Προκύπτει λοιπόν για κάθε αυτοκίνητο ότι:

 

ΔxΔt = 200m20s = 10m/s   και   Δx′Δt′ = 120m10s = 12m/s.

 

Δηλαδή το πρώτο αυτοκίνητο σε 1s μετατοπίζεται 10m, ενώ το δεύτερο σε 1s μετατοπίζεται 12m. Άρα το δεύτερο αυτοκίνητο κινείται γρηγορότερα από το πρώτο.

Η διαδικασία αυτή που ακολουθήσαμε μας οδηγεί στον ορισμό της έννοιας της ταχύτητας υ, ως το πηλίκο της μετατόπισης προς την αντίστοιχη χρονική διάρκεια. Δηλαδή:

 

υ = ΔxΔt

(1.1.1)

 

Έτσι μπορούμε να απαντάμε στην ερώτηση ποιο κινητό κινείται γρηγορότερα.

Για να απαντήσουμε και στο ερώτημα προς τα πού κινείται το κινητό, πρέπει να λάβουμε υπόψη, ότι η μετατόπιση είναι μέγεθος διανυσματικό Εικόνα, άρα και η ταχύτητα θα είναι επίσης μέγεθος διανυσματικό. Δηλαδή:

 

Εικόνα

(1.1.2)

 

Η μονάδα της ταχύτητας στο Διεθνές Σύστημα S.I. είναι 1m/s.

 

Μερικοί μαθητές πιστεύουν, ότι η ταχύτητα είναι δύναμη που έχει ένα κινητό.

Ποια είναι η δική σου άποψη;

Ευθύγραμμη κίνηση

 
 

Η σχέση (1.1.2) δίνει την ταχύτητα Εικόνα στην ευθύγραμμη ομαλή κίνηση, όπου η ταχύτητα υ είναι σταθερή, με αποτέλεσμα σε ίσους χρόνους να διανύονται ίσες μετατοπίσεις.

Από την εξίσωση ορισμού της ταχύτητας προκύπτει ότι η μετατόπιση Δx είναι:

 

Δx = υ Δt     ή     x = υ t

(1.1.3)

 

Η ευθύγραμμη ομαλή κίνηση περιγράφεται με τη σχέση (1.1.3) με την οποία βρίσκουμε κάθε χρονική στιγμή τη μετατόπιση του κινητού, εφόσον γνωρίζουμε την ταχύτητα του. Η σχέση αυτή ονομάζεται εξίσωση κίνησης.

Εκτός από την αλγεβρική μελέτη με την εξίσωση κίνησης, η ευθύγραμμη ομαλή κίνηση μπορεί να μελετηθεί και γραφικά με τη βοήθεια του διαγράμματος της ταχύτητας σε συνάρτηση με το χρόνο t.

Για να κατασκευάσουμε μια γραφική παράσταση, χρειαζόμαστε πειραματικές τιμές των φυσικών μεγεθών που θα παραστήσουμε, ή αν δεν έχουμε πειραματικές τιμές, πρέπει να γνωρίζουμε την αλγεβρική σχέση που συνδέει τα φυσικά μεγέθη, ώστε να συμπληρώσουμε πίνακα τιμών.

Παραδείγματος χάρη, ας υποθέσουμε ότι από την πειραματική μελέτη της ευθύγραμμης ομαλής κίνησης δύο κινητών, προέκυψε ο παρακάτω πίνακας τιμών και η αντίστοιχη γραφική παράσταση (Εικ. 1.1.11).

 

Εικόνα 1.1.11 Γραφική παράσταση των μετατοπίσεων των κινητών (α), (β), σε συνάρτηση με το χρόνο.

Εικόνα 1.1.11

Γραφική παράσταση των μετατοπίσεων των κινητών (α), (β), σε συνάρτηση με το χρόνο.

 

Πίνακας Τιμών

t(s)

xα(m)

xβ(m)

1

2

3

4

5

6

7

2

4

6

8

10

12

14

3

6

9

12

 

 

 

 
Εικόνα

Παρατηρούμε, ότι οι γραφικές παραστάσεις είναι ευθείες γραμμές, όπως ήταν αναμενόμενο, εφόσον η αλγεβρική σχέση μεταξύ των μεγεθών x, t είναι γραμμική, που όμως έχουν διαφορετική κλίση.

Το ερώτημα που τίθεται είναι:

Ποια είναι η φυσική σημασία των κλίσεων των δύο ευθειών που προέκυψαν από τη γραφική παράσταση των πειραματικών δεδομένων του πίνακα;

Επειδή η κλίση προκύπτει ως το πηλίκο της μετατόπισης διά του χρόνου ΔxΔt, με το οποίο πηλίκο έχουμε ορίσει την ταχύτητα, συμπεραίνουμε ότι:

Ευθύγραμμη κίνηση

 

Η κλίση της ευθείας στο διάγραμμα της μετατόπισης σε συνάρτηση με το χρόνο δίνει την ταχύτητα στην ευθύγραμμη κίνηση.

 

Κλίση ευθείας α:     ΔxΔt = 14m7s = 2 ms = υα

 

Κλίση ευθείας β:     ΔxΔt = 12m4s = 3 ms = υβ

 

Αν παραστήσουμε γραφικά σε συνάρτηση με το χρόνο, τη σταθερή ταχύτητα υα = 2m/s και υβ = 3m/s των δύο κινητών, προκύπτουν οι ευθείες γραμμές (α) και (β) που φαίνονται στην εικόνα 1.1.12.

Εικόνα Εικόνα 1.1.12 Γραφική παράσταση της ταχύτητας των κινητών σε συνάρτηση με το χρόνο. Τα εμβαδά Εα (μπλε) και Εβ (γραμμοσκιασμένο), δίνουν τις μετατοπίσεις  των κινητών α, β, αντίστοιχα.

Εικόνα 1.1.12

Γραφική παράσταση της ταχύτητας των κινητών σε συνάρτηση με το χρόνο. Τα εμβαδά Εα (μπλε) και Εβ (γραμμοσκιασμένο), δίνουν τις μετατοπίσεις των κινητών α, β, αντίστοιχα.

Οι ευθείες (α) και (β) είναι παράλληλες στον άξονα του χρόνου.

Υπολογίζοντας τα εμβαδά Εα και Εβ μεταξύ των αντίστοιχων ευθειών (α), (β) και των αξόνων ταχύτητα - χρόνος, βρίσκουμε:

 

Εα = βάση · ύψος = 7s · 2m/s = 14m,

 

δηλαδή τη μετατόπιση του κινητού α

 

και Εβ = βάση · ύψος = 4s · 3m/s = 12m,

 

δηλαδή τη μετατόπιση του κινητού β.

 

Μπορούμε λοιπόν από τη γραφική παράσταση υ = f(t) να υπολογίζουμε τη μετατόπιση Δx, βρίσκοντας το αντίστοιχο εμβαδόν που περικλείεται μεταξύ των αξόνων υ, t και της ευθείας που παριστά την ταχύτητα.

 

Εφαρμογή

Δύο αυτοκίνητα Α, Β κινούνται ευθύγραμμα και ομαλά σε ένα τμήμα της εθνικής οδού Πατρών - Πύργου με ταχύτητες 80km/h και 100km/h αντίστοιχα. Κάποια χρονική στιγμή το αυτοκίνητο Β απέχει από το προπορευόμενο αυτοκίνητο Α 100m και στη συνέχεια το προσπερνά.

α) 

Μετά από πόσο χρόνο τα αυτοκίνητα θα απέχουν πάλι 100m;

 

Μερικοί μαθητές πιστεύουν, ότι αν δύο κινητά τα οποία κινούνται ευθύγραμμα ομαλά με διαφορετικές ταχύτητες, βρεθούν κάποια χρονική στιγμή το ένα δίπλα στο άλλο, έχουν την ίδια ταχύτητα.

Εσύ τι πιστεύεις; Συζητήστε στην ομάδα σας.

Ευθύγραμμη κίνηση

 
 

β) 

Πόσο θα έχει μετατοπιστεί κάθε αυτοκίνητο, όταν απέχουν πάλι 100m; Ο υπολογισμός να γίνει με την εξίσωση της κίνησης, αλλά και γραφικά.

 

Απάντηση:

α) 

Σχεδιάζουμε πρώτα τις αρχικές και τις τελικές θέσεις των αυτοκινήτων Α και Β, των οποίων οι μετατοπίσεις είναι xA = AA′ και xB = BB′ αντίστοιχα, εικόνα (α).

 

Εικόνα α

Εικόνα α

 
 

Η εξίσωση κίνησης για κάθε αυτοκίνητο είναι:

 

xΑ = υΑ t = AA′

(1)

 

xΒ = υΒ t = ΒΒ′

(2)

 

όπου: υΑ = 80km/h και υB = 100km/h.

Από τις σχέσεις (1) και (2) με αφαίρεση κατά μέλη προκύπτει:

 

ΒΒ′ - ΑΑ′ = ΒΑ + Α′Β′ = (υB - υΑ) t     ή

 

0,2km = (100km/h - 80km/h) t

 

ή     t = 0,01h = 36s

 

β) 



Από τις εξισώσεις κίνησης (1) και (2) με αντικατάσταση του χρόνου t βρίσκουμε:

 

xA = 80 km / h 0,01h = 0,8km

 

xΒ = 100 km / h 0,01h = 1km

 
 

Εικόνα β

Εικόνα β

 
 

Ομοίως από τη γραφική παράσταση της εικόνας (β) υπολογίζουμε τα αντίστοιχα εμβαδά:

 

EA = 0,01h · 80km/h = 0,8km = xA

 

EB = 0,01h · 100km/h = 1km = xB

 
 
 

Ευθύγραμμη κίνηση

 

Μελέτη κίνησης με χρήση του ηλεκτρικού χρονομετρητή

 

Μπορούμε να μελετήσουμε την ευθύγραμμη κίνηση ενός αντικειμένου, λόγου χάρη ενός μικρού αμαξιού, με τη βοήθεια του ηλεκτρικού χρονομετρητή που φαίνεται στην εικόνα.

Εικόνα

Καθώς κινείται το αμαξάκι παρασύρει με την ίδια ταχύτητα τη χαρτοταινία που περνά διαμέσου του ηλεκτρικού χρονομετρητή. O κινητήρας του ηλεκτρικού χρονομετρητή περιστρέφεται με σταθερό σχεδόν αριθμό στροφών ανά μονάδα χρόνου: 50 στροφές σε κάθε δευτερόλεπτο. Σε κάθε περιστροφή του, γράφει επάνω στη χαρτοταινία μία κουκίδα. To σταθερό χρόνο τ μεταξύ δύο διαδοχικών κουκίδων, μπορούμε να τον θεωρήσουμε ως μονάδα χρόνου (αντί του δευτερολέπτου) για πρακτικούς λόγους.

 

Δραστηριότητα

OΙ χαρτοταινίες που φαίνονται στην εικόνα αναφέρονται σε δύο ευθύγραμμες ομαλές κινήσεις δύο αμαξιδίων και προέκυψαν με τη βοήθεια του ηλεκτρικού χρονομετρητή.

α) 


Μετρήστε με ένα κανόνα τις μετατοπίσεις από την κουκίδα 1 έως την κουκίδα 2 από τη 2 έως την 3 κ.ο.κ και στις δύο χαρτοταινίες. Tι παρατηρείτε;

β) 

Υπολογίστε την ταχύτητα του κάθε αμαξιδίου. Ποιο κινείται γρηγορότερα;

γ) 


Να σχεδιάσετε τη γραφική παράσταση της μετατόπισης σε συνάρτηση με το χρόνο για κάθε αμαξίδιο.

 

Εικόνα

Ευθύγραμμη κίνηση

 

Εικόνα

 

Δραστηριότητα

Να υπολογίσετε τη μέση ταχύτητα ενός αυτοκινήτου, για τη διαδρομή Πάτρα - Αθήνα, το οποίο ξεκίνησε από την Πάτρα στις δέκα και μισή το πρωί, έκανε στάση μισή ώρα στην Κόρινθο και έφτασε στην Αθήνα στις μία το μεσημέρι.

H απόσταση Πάτρα - Αθήνα είναι 210km.

 

1.1.6 

H έννοια της μέσης ταχύτητας

Στην προηγούμενη παράγραφο μελετήσαμε την έννοια της ταχύτητας στην ευθύγραμμη ομαλή κίνηση όπου η ταχύτητα παραμένει σταθερή σε οποιαδήποτε χρονική στιγμή της κίνησης. Διαπιστώσαμε, ότι η ταχύτητα δείχνει πόσο μετατοπίζεται ένα κινητό στην μονάδα του χρόνου και “προς τα πού” κινείται, ή διαφορετικά δείχνει το ρυθμό μεταβολής της θέσης ενός κινητού και την κατεύθυνση κίνησής του.

Στην καθημερινή ζωή όμως οι συνηθισμένες κινήσεις δεν είναι ευθύγραμμες ομαλές.

Πώς θα μελετήσουμε τις κινήσεις αυτές; Πώς θα απαντήσουμε στο ερώτημα: με τι ταχύτητα διανύει το αυτοκίνητο τη διαδρομή Αθήνα - Θεσσαλονίκη;

Στις “μη ομαλές” κινήσεις η ταχύτητα αλλάζει, δεν είναι η ίδια σε όλη τη χρονική διάρκεια της κίνησης. Δηλαδή το πηλίκο s / t παίρνει διαφορετικές τιμές κατά τη διάρκεια της μετατόπισης του αυτοκινήτου από την Αθήνα στη Θεσσαλονίκη.

Οι τιμές αυτές εξαρτώνται από το διάστημα s ή από το χρόνο t που θα επιλέξουμε. Παραδείγματος χάρη στο ευθύγραμμο τμήμα της εθνικής οδού στη Μαλακάσα μπορεί να είναι st = 120kmh.

Στην επόμενη όμως στροφή μπορεί να είναι st = 80kmh κ.τ.λ.

Οπότε, για να απαντήσουμε στο παραπάνω ερώτημα, πρέπει να “κατασκευάσουμε” μια νέα έννοια. Αυτή η νέα έννοια σχετίζεται με τη συνολική απόσταση που διανύει το αυτοκίνητο και τη συνολική χρονική διάρκεια κίνησής του.

Av π.χ. η απόσταση Αθήνα - Θεσσαλονίκη είναι 513km και η χρονική διάρκεια του ταξιδιού είναι 5h, τότε το πηλίκο st = 102,6kmh, μας πληροφορεί για την απόσταση κατά μέσο όρο που διανύει το αυτοκίνητο σε κάθε ώρα ταξιδιού.

To πηλίκο αυτό το ονομάζουμε μέση ταχύτητα του αυτοκινήτου και το συμβολίζουμε με υ ή υμ Δηλαδή:

 

υμ = st

(1.1.4)

 

H μέση ταχύτητα είναι μονόμετρο μέγεθος και μας δείχνει απλά με πόση “περίπου” ταχύτητα καλύφθηκε η διαδρομή Αθήνα - Θεσσαλονίκη ή ακριβέστερα μας δείχνει τη σταθερή ταχύτητα που έπρεπε να είχε το αυτοκίνητο για να καλύψει τη διαδρομή των 513km σε 5h.

Πολλές φορές αναφέρεται η μέση διανυσματική ταχύτητα, Εικόνα, η οποία ορίζεται από το πηλίκο Εικόνα όπου Εικόνα η μετατόπιση και Δt ο αντίστοιχος χρόνος. Όμως η έννοια αυτή ξεφεύγει από τους σκοπούς αυτού του βιβλίου.

Ευθύγραμμη κίνηση

 

1.1.7 

H έννοια της στιγμιαίας ταχύτητας

 

Στο ταξίδι από την Αθήνα στη Θεσσαλονίκη, όπως είπαμε στην προηγούμενη παράγραφο, η ταχύτητα του αυτοκινήτου δεν παραμένει σταθερή.

H κίνηση αυτή που δεν είναι ούτε ευθύγραμμη ούτε ομαλή, ονομάζεται γενικά μεταβαλλόμενη κίνηση.

Υπολογίσαμε παραπάνω τη μέση ταχύτητα υμ για όλο το ταξίδι από την Αθήνα στη Θεσσαλονίκη. Με όμοιο τρόπο μπορούμε να βρούμε τη μέση ταχύτητα υμ από την Αθήνα στο Βόλο, τη μέση ταχύτητα σε ένα ευθύγραμμο τμήμα του εθνικού δρόμου ή τη μέση ταχύτητα σε ακόμη μικρότερη διαδρομή.

Ας φανταστούμε ότι από τη θέση του συνοδηγού παρακολουθούμε το ταχύμετρο (κοντέρ) του αυτοκινήτου σε ένα ευθύγραμμο τμήμα της εθνικής οδού (Εικ. 1.1.13). Παρατηρούμε ότι ο δείκτης του ταχύμετρου συνεχώς δείχνει διαφορετική ένδειξη. Με τη βοήθεια του χιλιομετρητή και ενός χρονομέτρου θα μπορούσαμε να υπολογίσουμε τη μέση ταχύτητα υμ για διάφορα διαστήματα τα οποία διανύει το αυτοκίνητο, με τον εξής τρόπο: Καταγράφουμε την ένδειξη του χιλιομετρητή s1 και ταυτόχρονα θέτουμε σε λειτουργία το χρονόμετρο. Μετά από αρκετές εκατοντάδες μέτρα, σταματάμε τη λειτουργία του χρονομέτρου και καταγράφουμε την ένδειξή του (t), καθώς και την ένδειξη του χιλιομετρητή s2, όπως φαίνεται στον παρακάτω πίνακα. Κατά τη διάρκεια της διαδρομής αυτής καταγράφουμε και μερικές ενδείξεις του ταχυμέτρου του αυτοκινήτου. Επαναλαμβάνουμε την ίδια διαδικασία για μικρότερα διαστήματα και καταγράφουμε τις μετρήσεις.

 

ΠΙΝΑΚΑΣ

α/α

t(s)

s = s2 - s1(m)

υμ(m/s)

υμ(km/h)

υ ταχύμετρου (km/h)

1

 

 

 

50,20

 

 

 

3,6

1.800

 

 

 

100

35,85

 

 

 

27,78

129,1

 

 

 

100,0

134-125-140…

 

 

 

99-100-101

 

Παρατηρούμε, ότι όσο μικραίνει η χρονική διάρκεια κίνησης του αυτοκινήτου (και το διανυόμενο διάστημα), τόσο η υπολογιζόμενη από τις μετρήσεις μέση ταχύτητα προσεγγίζει την πραγματική ταχύτητα του αυτοκινήτου που δείχνει το κοντέρ. Av η χρονική διάρκεια κίνησης του αυτοκινήτου γίνει πάρα πολύ μικρή, τότε η υπολογιζόμενη ταχύτητα λέγεται στιγμιαία και ταυτίζεται με αυτή που δείχνει το ταχύμετρο σε μία τυχαία χρονική στιγμή.

Επισημαίνουμε πως στην περίπτωση της ευθύγραμμης ομαλής κίνησης η στιγμιαία και η μέση ταχύτητα συμπίπτουν.

 

Εικόνα 1.1.13

Εικόνα 1.1.13 To ταχύμετρο τον αυτοκινήτου δείχνει τη στιγμιαία ταχυτητά του.

To ταχύμετρο τον αυτοκινήτου δείχνει τη στιγμιαία ταχυτητά του.

 

Εικόνα 1.1.14 H ταχύτητα των αθλητών τη στιγμή της φωτογράφησης είναι η στιγμιαία ταχύτητά τους.

Εικόνα 1.1.14

H ταχύτητα των αθλητών τη στιγμή της φωτογράφησης είναι η στιγμιαία ταχύτητά τους.

Ευθύγραμμη κίνηση

 

Εικόνα

 

1.1.8 

H έννοια της επιτάχυνσης στην ευθύγραμμη ομαλά μεταβαλλόμενη κίνηση

 

Οι κατασκευαστές αυτοκινήτων και δικύκλων, για να περιγράψουν τις δυνατότητες που έχουν αυτά, αναφέρουν σε πόσα δευτερόλεπτα “πιάνουν” τα 100km/h, ξεκινώντας από την ηρεμία, ή από κάποια άλλη ταχύτητα, για παράδειγμα 60km/h.

Παρατηρήστε το διπλανό πίνακα. Ποιο από τα αυτοκίνητα είναι το πιο “γρήγορο”; Ποιου αυτοκινήτου αλλάζει η ταχύτητα γρηγορότερα, ή ποιο έχει μεγαλύτερη επιτάχυνση; Διαπιστώνουμε ότι η μεταβολή της ταχύτητας για όλα τα αυτοκίνητα είναι ίδια:

 

Δυ = υ - υ0 = 100km/h ή Δυ = 100 - 60 = 40km/h,

 

ενώ η χρονική διάρκεια Δt για να επιτευχθεί αυτή η μεταβολή της ταχύτητας είναι διαφορετική για κάθε αυτοκίνητο.

Θα μπορούσαμε να συγκρίνουμε τις επιταχύνσεις των αυτοκινήτων αν γνωρίζαμε την ταχύτητα που αποκτούν μέσα σε οποιοδήποτε χρόνο, ξεκινώντας από την ηρεμία, π.χ. σε Δt = 10s. Αντί να αναφερόμαστε σε οποιοδήποτε χρόνο μπορούμε να συμφωνήσουμε να χρησιμοποιήσουμε Δt = 1s, δηλαδή να αναχθούμε στη μονάδα του χρόνου, διαιρώντας τη μεταβολή της ταχύτητας Δυ με τον αντίστοιχο χρόνο Δt.

Στη Φυσική, για να συγκρίνουμε τις επιταχύνσεις των κινητών, των οποίων η κίνηση δεν είναι ομαλή, εργαζόμαστε με τον προηγούμενο τρόπο, δηλαδή βρίσκουμε πόσο αλλάζει η ταχύτητα στη μονάδα του χρόνου, διαιρώντας τη μεταβολή της ταχύτητας με το χρόνο. Έτσι υπολογίζουμε την επιτάχυνση ή το ρυθμό με τον οποίο αλλάζει η ταχύτητα, όπως λέμε.

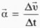
To πηλίκο ΔυΔt το ονομάζουμε επιτάχυνση και το συμβολίζουμε με το γράμμα α, δηλαδή:

 

α = ΔυΔt

(1.1.5)

 

Μονάδα επιτάχυνσης στο Διεθνές Σύστημα S.I. είναι το 1m/ss = 1 ms2.

Στο κεφάλαιο αυτό θα περιοριστούμε μόνο στην περιγραφή κινήσεων που η ταχύτητά τους αλλάζει το ίδιο στη μονάδα του χρόνου ή αλλάζει όπως λέμε με σταθερό ρυθμό, δηλαδή σε κινήσεις στις οποίες η επιτάχυνση α = ΔυΔt είναι σταθερή. Για παράδειγμα αν α = 2m/s2, τότε σε κάθε δευτερόλεπτο η ταχύτητα αλλάζει 2m/s.

Ευθύγραμμη κίνηση

 

Τις κινήσεις αυτές τις ονομάζουμε ευθύγραμμες ομαλά μεταβαλλόμενες.

Στις κινήσεις αυτές διακρίνουμε δυο περιπτώσεις:

α) η ταχύτητα του κινητού αυξάνεται, οπότε η κίνηση ονομάζεται ομαλά επιταχυνόμενη.

β) η ταχύτητα του κινητού μειώνεται, οπότε η κίνηση ονομάζεται ομαλά επιβραδυνόμενη (Εικ. 1.1.15).

Εικόνα 1.1.15 Οι διαδοχικές θέσεις δύο σφαιρών σε ίσα χρονικά διαστήματα: α) επιταχυνόμενη κίνηση, β) επιβραδυνόμενη.

Εικόνα 1.1.15

Οι διαδοχικές θέσεις δύο σφαιρών σε ίσα χρονικά διαστήματα:

α) επιταχυνόμενη κίνηση, β) επιβραδυνόμενη.

Μέχρι τώρα ασχοληθήκαμε με την τιμή της επιτάχυνσης, αλλά η ταχύτητα και η μεταβολή της ταχύτητας είναι διανύσματα, οπότε και η επιτάχυνση είναι διάνυσμα.

Ορίζουμε ως επιτάχυνση Εικόνα σε μια ευθύγραμμη ομαλά μεταβαλλόμενη κίνηση, το διανυσματικό μέγεθος του οποίου η τιμή ισούται με το πηλίκο της μεταβολής Εικόνα της ταχύτητας διά του χρόνου Δt στον οποίο γίνεται η μεταβολή αυτή. Στη γλώσσα των μαθηματικών μπορούμε να γράψουμε:

 

Εικόνα

(1.1.6)

 

Δραστηριότητα

Υπολογίστε το πηλίκο ΔυΔt για μερικά από τα αυτοκίνητα του Πίνακα 1. Χρησιμοποιήστε ως μονάδα το 1km/ss. Συζητήστε τα αποτελέσματα στην ομάδα σας.

 

H κατεύθυνση της επιτάχυνσης στις περιπτώσεις α, β, φαίνεται στην εικόνα 1.1.16, όπου παρατηρούμε ότι η επιτάχυνση έχει την ίδια κατεύθυνση με την ταχύτητα στην ομαλά επιταχυνόμενη κίνηση και αντίθετη κατεύθυνση με αυτήν στην ομαλά επιβραδυνόμενη κίνηση. Πάντοτε όμως η κατεύθυνση της επιτάχυνσης Εικόνα είναι ίδια με την κατεύθυνση της μεταβολής της ταχύτητας Εικόνα, εικόνα 1.1.16.

 

Δραστηριότητα

α) 








Υπολογίστε τις επιταχύνσεις στις κινήσεις που φαίνονται στις στροβοσκοπικές φωτογραφίες της εικόνας 1.1.15. Θεωρήστε ότι Δt = 150s.

β) 




Σχεδιάστε τις ταχύτητες και τις επιταχύνσεις σε δύο σημεία των κινήσεων.

 

Μερικοί μαθητές ισχυρίζονται, ότι αν η ταχύτητα ενός αυτοκινήτου είναι μηδέν, τότε και η επιτάχυνσή του πρέπει να είναι μηδέν.

Συζητήστε στην ομάδα σας αν αληθεύει ο ισχυρισμός αυτός.

Ευθύγραμμη κίνηση

 

Εικόνα 1.1.16 α) Επιταχυνόμενη κίνηση: τα διανύσματα υ0, υ, Δυ, α, έχουν την ίδια κατεύθυνση β) Επιβραδυνόμενη κίνηση: τα διανύσματα Δυ, α, έχουν αντίθετη κατεύθυνση με τα διανύσματα υ0, υ.

Εικόνα 1.1.16

α) Επιταχυνόμενη κίνηση: τα διανύσματα Εικόνα έχουν την ίδια κατεύθυνση.

6) Επιβραδυνόμενη κίνηση: τα διανύσματα Εικόνα έχουν αντίθετη κατεύθυνση με τα διανύσματα Εικόνα.

1.1.9 

Οι εξισώσεις προσδιορισμού της ταχύτητας και της θέσης ενός κινητού στην ευθύγραμμη ομαλά μεταβαλλόμενη κίνηση

Για να περιγράψουμε μια ευθύγραμμη ομαλά μεταβαλλόμενη κίνηση, πρέπει σε κάθε χρονική στιγμή να προσδιορίσουμε την ταχύτητα του κινητού και τη θέση του. Οι εξισώσεις που μας δίνουν τις πληροφορίες αυτές, λέγονται εξισώσεις της ευθύγραμμης ομαλά μεταβαλλόμενης κίνησης και προκύπτουν ως εξής:

α) H εξίσωση της ταχύτητας.

Από τον ορισμό της επιτάχυνσης Εικόνα προκύπτει ότι η μεταβολή Εικόνα της ταχύτητας στο χρόνο Δt είναι:

 

Εικόνα

 

Av τη χρονική στιγμή μηδέν, η ταχύτητα του κινητού είναι υ0 (αρχική ταχύτητα) και τη χρονική στιγμή t είναι υ, τότε η μεταβολή Εικόνα είναι:

 

Εικόνα

Ευθύγραμμη κίνηση

 

Επειδή τα διανύσματα Εικόνα είναι συγγραμμικά στην ευθύγραμμη κίνηση, η πρόσθεσή τους ανάγεται σε αλγεβρική πρόσθεση των τιμών τους. Μπορούμε λοιπόν να καθορίσουμε θετική και αρνητική φορά (Εικ. 1.1.16), και να οδηγηθούμε στην αλγεβρική μορφή των προηγούμενων εξισώσεων:

 

στην επιταχυνόμενη κίνηση:

υ = υ0 + α t

(1.1.7)

 

στην επιβραδυνόμενη κίνηση:

υ = υ0 - α t

(1.1.8)

 

Av η αρχική ταχύτητα είναι υ0 = 0 από τη σχέση (1.1.7) προκύπτει:

 

υ = α t

(1.1.9)

 

H εξίσωση της ταχύτητας σε σχέση με το χρόνο, είναι εξίσωση πρώτου βαθμού και μπορεί να παρασταθεί γραφικά σε διάγραμμα ταχύτητας - χρόνου με ευθεία γραμμή. Π.χ. ας υποθέσουμε ότι το τελευταίο αυτοκίνητο του Πίνακα 1 της παραγράφου 1.1.8 επιταχύνεται ομαλά στο ευθύγραμμο τμήμα μιας πίστας αγώνων αυτοκινήτων από την ηρεμία και αποκτά ταχύτητα 100km/h σε 15,8s. Για να παραστήσουμε γραφικά την ταχύτητα σε σχέση με το χρόνο, αρκούν δύο σημεία, γιατί όπως είπαμε η γραφική παράσταση είναι ευθεία γραμμή. Av πάρουμε την αρχική και την τελική ταχύτητα, έχουμε τη γραφική παράσταση που φαίνεται στην εικόνα 1.1.17.

 
 

Πίνακας 3

t(s)

υ(km/h)

0

0

15,8

100

 

Εικόνα 1.1.17

Εικόνα 1.1.17

 

Ας υποθέσουμε ότι το πρώτο αυτοκίνητο του Πίνακα 2 της παραγράφου 1.1.8 επιταχύνεται ομαλά σε ευθύγραμμο τμήμα της πίστας των αγώνων αυτοκινήτων με αρχική ταχύτητα 60km/h και τελική 100km/h σε χρόνο 11,4s. Όπως και προηγουμένως, παίρνουμε την αρχική και την τελική ταχύτητα, οπότε έχουμε τον πίνακα τιμών και τη γραφική παράσταση της εικόνας 1.1.18.

 
 

Πίνακας 4

t(s)

υ(km/h)

0

60

11,4

100

 

Εικόνα 1.1.18

Εικόνα 1.1.18

 

Ευθύγραμμη κίνηση

 
Εικόνα Εικόνα Εικόνα
 

Τίθεται το ερώτημα: ποια είναι η φυσική σημασία της κλίσης της ευθείας της εικόνας 1.1.18;

Επειδή η κλίση προκύπτει ως το πηλίκο της μεταβολής της ταχύτητας με το χρόνο, ΔυΔt με το οποίο έχουμε ορίσει την επιτάχυνση, συμπεραίνουμε ότι η κλίση της ευθείας στο διάγραμμα της ταχύτητας σε συνάρτηση με το χρόνο, δίνει την επιτάχυνση στην ευθύγραμμη ομαλά μεταβαλλόμενη κίνηση.

 

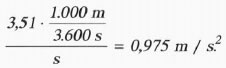
Κλίση ευθείας:   ΔυΔt = 40km/h11,4s = 3,51km/hs = α

 

Σημείωση:

 

Χρησιμοποιούμε τη μονάδα km/hs διότι είναι πιο κοντά στην εμπειρία μας, δηλαδή καταλαβαίνουμε τι σημαίνει ότι η ταχύτητα άλλαξε σε 1s κατά 3,5km/h. Av μετατρέψουμε τις μονάδες στο Διεθνές Σύστημα S.I., η επιτάχυνση γίνεται:

 

Εικόνα

 

H γραφική παράσταση της σταθερής επιτάχυνσης στην ευθύγραμμη ομαλά μεταβαλλόμενη κίνηση του αυτοκινήτου που μελετάμε, θα είναι ευθεία γραμμή, παράλληλη στον άξονα του χρόνου t, όπως φαίνεται στην εικόνα 1.1.19.

Εικόνα 1.1.19

Εικόνα 1.1.19

Ποια μπορεί να είναι η φυσική σημασία του γραμμοσκιασμένου εμβαδού της εικόνας 1.1.19; To εμβαδόν μεταξύ της γραφικής παράστασης (ευθείας) και των αξόνων επιτάχυνσης και χρόνου είναι:

 

Ε = βάση · ύψος = 3,51km/hs11,4s = 40km/h = υ

 

Παρατηρούμε ότι το εμβαδόν είναι αριθμητικά ίσο με τη μεταβολή της ταχύτητας κατά την χρονική διάρκεια των 11,4s της επιτάχυνσης του αυτοκινήτου. Άρα το εμβαδό, μεταξύ της ευθείας που αναπαριστά την επιτάχυνση σε συνάρτηση με το χρόνο, και των αξόνων επιτάχυνσης και χρόνου, είναι αριθμητικά ίσο με τη μεταβολή της ταχύτητας Δυ.

Ευθύγραμμη κίνηση

 

Ομοίως εργαζόμαστε για την κατασκευή των διαγραμμάτων της ταχύτητας σε συνάρτηση με το χρόνο υ = f(t) και της επιτάχυνσης σε συνάρτηση με το χρόνο α = f(t) στην περίπτωση της ομαλά επιβραδυνόμενης κίνησης.

β) H εξίσωση της κίνησης.

 
 

To αυτοκίνητο εκτελεί επιταχυνόμενη κίνηση.

To αυτοκίνητο εκτελεί επιταχυνόμενη κίνηση.

H εξίσωση κίνησης, δηλαδή ο προσδιορισμός της θέσης ενός αντικειμένου, το οποίο επιταχύνεται ομαλά, σε συνάρτηση με το χρόνο, προκύπτει με γραφικό τρόπο από το διάγραμμα υ = f(t).

Στη μελέτη της ευθύγραμμης ομαλής κίνησης, παράγραφος 1.1.5, είδαμε ότι το εμβαδόν που περικλείεται μεταξύ της γραμμής που παριστά την ταχύτητα και των αξόνων ταχύτητας και χρόνου είναι ίσο με τη μετατόπιση.

Ομοίως μπορεί να αποδειχθεί ότι το εμβαδόν του τραπεζίου που περικλείεται μεταξύ της γραμμής που παριστά την ταχύτητα και των αξόνων υ, t (Εικ. 1.1.20) είναι ίσο με τη μετατόπιση στην ευθύγραμμη ομαλά μεταβαλλόμενη κίνηση. Οπότε, αν υπολογίσουμε το εμβαδόν, εικόνα 1.1.20, χρήσιμοποιώντας αντί των αριθμητικών τιμών, τα σύμβολα υ, υ0, t, οδηγούμαστε στην εξίσωση για τη μετατόπιση Δx.

Εικόνα 1.1.20

Εικόνα 1.1.20

 

Ευθύγραμμη κίνηση

 

Δραστηριότητα

Να παραστήαστε γραφικά τη σχέοη ταχύτητας - χρόνου στην ευθύγραμμη ομαλά επιβραδυνόμενη κίνηση.

Από τη γραφική παράσταση να αποδείξετε τη σχέση 1.1.11.

 

Δηλαδή:

 

Ετραπ = αθροισμα βασεων2 · υψος   ή   Δx = υ + υ0 2 (t - 0)

 

Αλλά γνωρίζουμε ότι η ταχύτητα είναι: υ = υ0 + αt. Συνεπώς:

 

Δx = υ0 + αt + υ02 t = 0t + αt22   ή   Δx = υ0t + 12αt2

 

και αν x0 = 0, έχουμε:

 

x = υ0t + 12αt2

(1.1.10)

 

Ομοίως στην ομαλά επιβραδυνόμενη κίνηση προκύπτει ότι:

 

x = υ0t - 12αt2

(1.1.11)

 

Τίθεται το ερώτημα:

H γραφική παράσταση της θέσης σε συνάρτηση με το χρόνο στην ευθύγραμμη ομαλά επιταχυνόμενη κίνηση είναι ευθεία γραμμή ή καμπύλη;

Για να απαντήσουμε στο ερώτημα πρέπει να ελέγξουμε την εξίσωση κίνησης αν είναι πρώτου ή δεύτερου βαθμού ως προς t. Όπως προκύπτει από τη σχέση (1.1.11), η εξίσωση είναι δευτέρου βαθμού ως προς το χρόνο, άρα η γραφική παράσταση είναι καμπύλη γραμμή.

Για να τη σχεδιάσουμε, συμπληρώνουμε έναν πίνακα τιμών. Π.χ. στην περίπτωση του πρώτου αυτοκινήτου του πίνακα 2, από τα δεδομένα: αρχική ταχύτητα υ0 = 60km/h = 16,67m/s, επιτάχυνση α = 0,975m/s2, απαιτούμενος χρόνος για να αποκτήσει ταχύτητα υ = 100km/h, t = ll,4s και την εξίσωση κίνησης προκύπτει ο παρακάτω πίνακας τιμών, και η αντίστοιχη γραφική παράσταση (Εικ. 1.1.21).

 

Εικόνα 1.1.21 Γραφική παράσταση του διαστήματος (θέσης) x σε συνάρτηση με τον χρόνο στην ομαλά επιταχυνόμενη κίνηση, με αρχική ταχύτητα.

Εικόνα 1.1.21

Γραφική παράσταση του διαστήματος (θέσης) x σε συνάρτηση με τον χρόνο στην ομαλά επιταχυνόμενη κίνηση, με αρχική ταχύτητα.

 

t(s)

x(m)

0

0

2

35,3

5

95,5

8

164,6

11,4

253,4

Ευθύγραμμη κίνηση

 

Ομοίως εργαζόμαστε για την κατασκευή της γραφικής παράστασης της θέσης σε συνάρτηση με το χρόνο x=f(t), στην ευθύγραμμη ομαλά επιβραδυνόμενη κίνηση.

 

Εφαρμογή 1

 

θέλουμε να υπολογίσουμε τη μετατόπιση και το χρόνο που απαιτείται για να σταματήσει ένα αυτοκίνητο που έχει αρχική ταχύτητα υ0 = 72km/h, αν φρενάροντας αποκτά επιβράδυνση α = 10m/s2.

Στο Διεθνές Σύστημα S.I. είναι υ0 = 72.000m3.600s = 20 ms.

Γνωρίζουμε ότι η μετατόπιση και η ταχύτητα δίνονται από τις σχέσεις:

 

x = υ0t - 12αt2

(1)

 

και

υ = υ0 - αt

(2)

 

H τελική ταχύτητα υ του αυτοκινήτου, εφόσον σταματά είναι υ = 0. Από τη σχέση (2) προκύπτει:

 

0 = υ0 - α t   ή   t = υ0α = 2010s = 2s.

 

Άρα ο χρόνος που απαιτείται για να σταματήσει το αυτοκίνητο είναι t = 2s.

Αντικαθιστώντας το χρόνο στη σχέση (1) προκύπτει:

 

x = 20·2 - 1210·22   ή   x=20m.

 

Δηλαδή το αυτοκίνητο θα μετατοπισθεί 20m έως ότου σταματήσει.

 
 

Εφαρμογή 2

 

Δύο αυτοκίνητα, κινούνται σε ευθύγραμμο τμήμα του εθνικού δρόμου Θεσσαλονίκης - Αλεξανδρούπολης με σταθερή ταχύτητα υ = 80km/h και απέχουν 30m. Κάποια στιγμή ο οδηγός του δεύτερου αυτοκινήτου αποφασίζει να προσπεράσει το προπορευόμενο αυτοκίνητο, που συνεχίζει να κινείται με σταθερή ταχύτητα. H κίνηση του δευτέρου αυτοκινήτου είναι ομαλά επιταχυνόμενη και η επιτάχυνση έχει τιμή α = 0,975 m/s2 = 3,51km/hs.Στο αντίθετο ρεύμα κυκλοφορίας έρχεται ένα άλλο αυτοκίνητο που κινείται με σταθερή ταχύτητα υ1 = 100km/h και απέχει από το δεύτερο αυτοκίνητο 400m.

 

Δραστηριότητα

Να υπολογίσετε πόσο θα μετατοπισθεί ώσπου να σταματήσει, το αυτοκίνητο της Εφαρμογής 1, αν έχει τη διπλάσια αρχική ταχύτητα και την ίδια επιβράδυνση.

Πόσες φορές θα αυξηθεί η μετατόπιση του αυτοκινήτου ώσπου να σταματήσει;

Ευθύγραμμη κίνηση

 
 

Θα υπολογίσουμε:

α) 



τη χρονική διάρκεια που απαιτείται για το προσπέρασμα, το οποίο θεωρούμε ότι ολοκληρώθηκε, όταν το αυτοκίνητο που προσπερνά βρίσκεται 2m μπροστά από το αυτοκίνητο που προσπέρασε.

β) 

τη μετατόπιση του κάθε αυτοκινήτου κατά τη διάρκεια του προσπεράσματος.

γ) 

την ταχύτητα που απέκτησε το δεύτερο αυτοκίνητο στο τέλος του προσπεράσματος.

δ) 

αν είναι ασφαλές το προσπέρασμα ή αν υπάρχει κίνδυνος σύγκρουσης με το αντίθετα κινούμενο αυτοκίνητο.

Εικόνα

 

α) To πρώτο αυτοκίνητο κινείται με σταθερή ταχύτητα, άρα:

 

x1 = υt

(1)

 

To δεύτερο αυτοκίνητο επιταχύνεται με σταθερή επιτάχυνση, συνεπώς η μετατόπισή του θα υπολογιστεί από τη σχέση:

 

x2 = υt + 12αt2

(2)

 

Στην εικόνα φαίνεται ότι η διαφορά των μετατοπίσεων των αυτοκινήτων είναι:

 

x2 - x1 = (30 + 4 + 2 + 4)m = 40m.

 

Οπότε, από τις εξισώσεις (1), (2) με αφαίρεση προκύπτει:

 

x2 - x1 = 12αt2   ή   40m = 12·0,975ms2t2   ή   t = 9s.

 

Δηλαδή ο απαιτούμενος χρόνος για την ολοκλήρωση του προσπεράσματος είναι 9s.

 

β) Από την εξίσωση (1) προκύπτει:

 

x1 = 80km/h·9s   ή   x1 = 80.000m3.600s·9s   ή   x1 = 200m.

 

Από την εξίσωση (2) προκύπτει:

 

x2 = 80.000m3.600s·9s + 12·0,975ms2(9s)2   ή

 

x2 = 200m + 39,5m = 239,5m.

Ευθύγραμμη κίνηση

 

γ) To δεύτερο αυτοκίνητο επιταχύνεται, άρα η ταχύτητά του δίνεται από τη σχέση

 

υ′ = υ + αt   ή   80km/h + 3,51km/hs·9s   ή   υ′ = 111,6km/h.

 

δ) Στη χρονική διάρκεια του προσπεράσματος, το αυτοκίνητο που κινείται στο αντίθετο ρεύμα κυκλοφορίας μετατοπίστηκε κατά:

 

x = υ1t = 100km/h·9s = 100.000m3.600s·9s   ή   x = 250m.

 

H αρχική απόσταση μεταξύ του δεύτερου αυτοκινήτου και του αυτοκινήτου που κινείται στο αντίθετο ρεύμα κυκλοφορίας, δίνεται ότι είναι 400m. Βρήκαμε ότι x2 = 239,5m και x = 250m, δηλαδή το συνολικό διάστημα που διάνυσαν τα αντιθέτως κινούμενα αυτοκίνητα είναι xολ = x + x2 ή xολ= 489,5m.

Αυτό σημαίνει ότι, πριν ολοκληρωθεί το προσπέρασμα τα αυτοκίνητα διασταυρώθηκαν με προφανή κίνδυνο σύγκρουσης.

 
 
 

To θεώρημα Merton

Οι κινήσεις των σωμάτων μελετήθηκαν θεωρητικά τον 13o αιώνα, πολύ πριν από την εποχή του Γαλιλαίου (16ος αιώνας), ο οποίος θεωρείται ο θεμελιωτής της Φυσικής Επιστήμης όπως τη γνωρίζουμε εμείς σήμερα.

Ένα από τα αποτελέσματα των μελετών της περιόδου αυτής, που χρησιμοποιείται ακόμη και σήμερα στη διδασκαλία της ομαλά επιταχυνόμενης κίνησης, είναι το “Θεώρημα της μέσης ταχύτητας”. To θεώρημα αυτό ονομάζεται και θεώρημα Merton, επειδή μελετήθηκε στο αντίστοιχο κολλέγιο της Οξφόρδης.

 

Με σύγχρονη ορολογία, το θεώρημα αναφέρεται σε μία κίνηση που είναι ομαλά επιταχυνόμενη με αρχική ταχύτητα υ0, διαρκεί χρόνο t και έχει τελική ταχύτητα υ. To θεώρημα ορίζει ότι, το διάστημα που διανύθηκε είναι το ίδιο με αυτό που θα διήνυε στον ίδιο χρόνο άλλο κινητό που θα είχε σταθερή ταχύτητα ίση με τη μέση τιμή των ταχυτήτων υ0, υ.

 

Ευθύγραμμη κίνηση

 
 

Δηλαδή η απόσταση αυτή είναι:

 

s = (υ + υ0)2 t.

 

Ενδιαφέρον έχει η ιδιαίτερη μέθοδος που χρησιμοποιήθηκε για την απόδειξη του θεωρήματος από τον Oresme, στο Πανεπιστήμιο του Παρισιού, στις αρχές του 14ου αιώνα. O Oresme σκέφτηκε, ότι, εφόσον ηποσότητα υ0t είναι γινόμενο δύο αριθμών, μπορεί να παρασταθεί με το εμβαδόν ορθογώνιου παραλληλόγραμμου με πλευρές υ0, t, όπως το ΟΑΒΓ στην εικόνα. Ομοίως, το υt θα είναι το εμβαδόν ΟΑΔΕ. O Oresme επίσης συμπέρανε, ότι το εμβαδόν ΟΑΔΓ θα παριστάνει το διάστημα που διανύθηκε από το κινητό που έκανε την επιταχυνόμενη κίνηση.

Εικόνα

Πράγματι, αν συνδεθούν τα μέσα των τμημάτων ΓΕ και ΒΔ με το ευθύγραμμο τμήμα ΚΛ, τα τρίγωνα ΓΛΜ και ΚΔΜ αποδεικνύεται ότι είναι ίσα. Συνεπώς, το εμβαδόν του τραπεζίου ΟΑΔΓ και του ορθογωνίου OAKΛ είναι ίσα. Όμως, το εμβαδόν OAKΛ αντιστοιχεί στο γινόμενο υ + υ02 t, διότι η KΛ διέρχεται από τα μέσα των ΒΔ, ΓΕ και ΟΛ = υ0 + υ - υ02 = υ + υ02.

Άρα το διάστημα που διανύεται με τη μέση ταχύτητα είναι ίσο με αυτό που διανύεται με ομαλά επιταχυνόμενη κίνηση.

Ευθύγραμμη κίνηση

 

ΠΕΡΙΛΗΨΗ

Για να περιγράψουμε μία κίνηση που γίνεται σε ευθεία γραμμή, χρειάζεται σε κάθε χρονική στιγμή να προσδιορίσουμε τη θέση του σωματίου ή κινητού. Αυτό σημαίνει ότι πρέπει να ορίσουμε ένα σημείο αναφοράς που θα είναι η αρχή για τις μετρήσεις μας. Σε περίπτωση που το σωμάτιο κινείται σε επίπεδο, η θέση του προσδιορίζεται εφόσον ορισθεί σύστημα αναφοράς, που τώρα είναι ορθογώνιο σύστημα συντεταγμένων. Κατά την κίνησή του το κινητό αλλάζει θέσεις. H μετατόπιση είναι διάνυσμα που έχει αρχή την αρχική θέση του κινητού και τέλος την τελική του θέση, ανεξάρτητα από τη διαδρομή του, και τιμή:

 

Εικόνα

 

Όταν η κίνηση είναι ευθύγραμμη ομαλή, το κινητό διανύει ίσες μετατοπίσεις σε ίσους χρόνους, κινούμενο κατά την ίδια φορά. H ταχύτητα στην ευθύγραμμη ομαλή κίνηση είναι το διανυσματικό μέγεθος που προκύπτει ως το πηλίκο της μετατόπισης προς την αντίστοιχη χρονική διάρκεια, σύμφωνα με τον τύπο:

 

Εικόνα

 

και έχει μονάδα μέτρησης στο Διεθνές Σύστημα S.I. το lm/s.

Στις μη ομαλές κινήσεις η ταχύτητα αλλάζει. Τότε χρησιμοποιούμε την έννοια της μέσης ταχύτητας που προκύπτει ως το πηλίκο της συνολικής απόστασης που διανύει το κινητό προς τη συνολική διάρκεια της κίνησής του με σχέση:

 

υμ = St

 

με μονάδα μέτρησης ίδια με αυτήν της ταχύτητας.

Στην ομαλά μεταβαλλόμενη κίνηση η ταχύτητα του κινητού αλλάζει κατά το ίδιο ποσό στην μονάδα του χρόνου ή αλλάζει όπως λέμε με σταθερό ρυθμό. Στην κίνηση αυτή χρησιμοποιείται το διανυσματικό μέγεθος της επιτάχυνσης που ισούται με το πηλίκο της μεταβολής της ταχύτητας δια του χρόνου Δt στον οποίο γίνεται η μεταβολή αυτή, και δίνεται από τη σχέση:

 

Εικόνα

 

H μονάδα μέτρησης της επιτάχυνσης στο Διεθνές Σύστημα S.I. είναι το lm/s2.

 

Ευθύγραμμη κίνηση

 

Στην ομαλά μεταβαλλόμενη κίνηση οι εξισώσεις που περιγράψουν την κίνηση, είναι οι εξής:

υ = υ0 + αt : Εξίσωση ταχύτητας στην ευθύγραμμη ομαλά επιταχυνόμενη κίνηση.

υ = υ0 - αt : Εξίσωση ταχύτητας στην ευθύγραμμη ομαλά επιβραδυνόμενη κίνηση.

x = υ0t + 12αt2 : Εξίσωση κίνησης στην ευθύγραμμη ομαλά επιταχυνόμενη κίνηση.

x = υ0t - 12αt2 : Εξίσωση κίνησης στην ευθύγραμμη ομαλά επιβραδυνόμενη κίνηση.

 
 
ΕΡΩΤΗΣΕΙΣ Εικόνα

1. 

Να αναφέρετε ποια από τα σώματα που φαίνονται στην εικόνα κινούνται:

Α. 

Ως προς τη Γη.

Β. 

Ως προς το αυτοκίνητο.

Εικόνα

2. 

Tι ονομάζουμε τροχιά ενός κινητού; Πως διακρίνονται οι κινήσεις με κριτήριο τη μορφή της τροχιάς του κινητού;

3. 

Να προσδιοριστεί η θέση των σημείων M1 και M2 της εικόνας.

Εικόνα

4. 

Να προσδιοριστεί η θέση των σημείων M1και M2 της εικόνας.

Εικόνα

5. 

Ένα κινητό μετατοπίζεται από τη θέση M1 στη θέση M2. Να σχεδιάσετε το διάνυσμα της μετατόπισής του και να βρείτε την τιμή της. Πόσο είναι το διάστημα που διάνυσε το κινητό στη διαδρομή αυτή;

Εικόνα

6. 

To κινητό της προηγούμενης ερώτησης κάνει τη διαδρομή M1-M2-M3. Να σχεδιάσετε το διάνυσμα της μετατόπισης του κινητού και να βρείτε την τιμή της. Υπολογίστε το διάστημα που διάνυσε το κινητό στη διαδρομή αυτή. Να συγκρίνετε τη μετατόπιση με το διάστημα.

7. 

Πότε χαρακτηρίζεται η κίνηση ενός σώματος ως ευθύγραμμη ομαλή; Από το διάγραμμα ταχύτητας - χρόνου στην ευθύγραμμη ομαλή κίνηση, ποιο μέγεθος μπορεί να υπολογιστεί;

8. 

Ένας ποδηλάτης λέει σε ένα φίλο του: “Πήγα από την τοποθεσία A στην τοποθεσία B και διέτρεξα μια απόσταση ίση με την μετατόπισή μου”. Tι μπορούμε να συμπεράνουμε για το είδος της τροχιάς του ποδηλάτη;

9. 

Να συγκρίνετε τις ταχύτητες 10m/s και 36km/h.

10. 

Σε ποια κίνηση ταυτίζονται η τιμή της μέσης και της στιγμιαίας ταχύτητας;

11. 

Πώς γίνεται ο υπολογισμός της επιτάχυνσης ενός κινητού, το οποίο κινείται ευθύγραμμα ομαλά επιταχυνόμενα, από το διάγραμμα ταχύτητας - χρόνου;

Ευθύγραμμη κίνηση

 

12. 

Ένας σκιέρ κινείται ευθύγραμμα σε οριζόντια πίστα και το διάγραμμα της θέσης του με το χρόνο φαίνεται στην εικόνα. Μπορούμε από το διάγραμμα να συμπεράνουμε ότι η ταχύτητα του σκιέρ αυξάνεται;

Εικόνα

13. 

Δύο μαθητές A και B συζητούν για ένα θέμα Φυσικής. O μαθητής A ρωτά τον B. “Στην εικόνα φαίνεται το διάγραμμα της .ταχύτητας ενός κινητού σε συνάρτηση με το χρόνο. Μπορούμε να υπολογίσουμε το διάστημα που διέτρεξε το κινητό, μέχρι να σταματήσει;”

Εικόνα

O μαθητής B αφού σκέφτηκε λίγο είπε: “Το διάστημα που διέτρεξε το κινητό είναι 25m”. Να εξετάσετε την ορθότητα της απάντησης του μαθητή B.

14. 

Στην εικόνα φαίνεται πώς μεταβάλ λεται η ταχύτητα δυο κινητών, που κινούνται ευθύγραμμα,σε συνάρτηση με το χρόνο.

Εικόνα

Α. 

Να συγκρίνετε τις επιταχύνσεις των δυο κινητών.

Β. 



Ποιο από τα δύο κινητά διανύει μεγαλύτερη απόσταση στον ίδιο χρόνο κίνησης; Να δικαιολογήσετε την απάντησή σας.

 

15. 

Να συμπληρώσετε τις προτάσεις:

Α. 




Ευθύγραμμη ομαλή κίνηση εκτελεί ένα κινητό, όταν η τροχιά που διαγράφει είναι …………… και το διάνυσμά της …………… μένει σταθερό ως προς την τιμή και …………… .

Β. 


Στην ευθύγραμμη ομαλή κίνηση η μέση ταχύτητα είναι …………… με την τιμή της στιγμιαίας ταχύτητας.

Γ. 


H επιτάχυνση ενός κινητού είναι μέγεθος …………… και η μονάδα της στο S.I. είναι το …………… .

16. 

Ένα όχημα κάνει ευθύγραμμη ομαλά επιταχυνόμενη κίνηση. Να συμπληρωθεί ο παρακάτω πίνακας.

 

t(s)

υ(m/s)

s(m)

0

0

0

1

2

 

 

 

4

 

8

 

17. 

Για τρία οχήματα που κάνουν ευθύγραμμη κίνηση, ομαλή ή ομαλά επιταχυνόμενη δίνεται ο παρακάτω πίνακας:

 

t(s)

A υ(m/s)

Β υ(m/s)

Γ υ(m/s)

0

4

2

0

1

4

4

5

2

4

6

10

3

4

8

15

4

4

10

20

 

Tι είδους κίνηση κάνει το κάθε όχημα; Να δικαιολογήσετε την απάντησή σας.

Ευθύγραμμη κίνηση

 

18. 

H θέση ενός κινητού που κινείται σε ένα επίπεδο, προσδιορίζεται κάθε στιγμή αν:

Α. 


Είναι γνωστές οι συντεταγμένες του κινητού (x,y) ως συναρτήσεις του χρόνου.

Β. 

Είναι γνωστό το διάστημα που διάνυσε το κινητό.

Γ. 

Είναι γνωστή η μέση ταχύτητα του κινητού.

19. 

Μία κίνηση λέγεται ευθύγραμμη ομαλή όταν:

Α. 

To κινητό κινείται σε ευθεία γραμμή.

Β. 

H επιτάχυνση του κινητού είναι σταθερή.

Γ. 

To κινητό σε ίσους χρόνους διανύει ίσα διαστήματα.

Δ. 

To κινητό κινείται σε ευθεία γραμμή και η ταχύτητά του είναι σταθερή.

20. 

H έκφραση l m/s2 δηλώνει ότι:

Α. 

H απόσταση του κινητού μεταβάλλεται κατά 1m σε κάθε ένα δευτερόλεπτο.

Β. 

To διάστημα του κινητού μεταβάλλεται κατά 1m σε κάθε ένα δευτερόλεπτο.

Γ. 

H ταχύτητα του κινητού μεταβάλλεται κατά l m/s σε κάθε ένα δευτερόλεπτο.

Δ. 

Τίποτα από τα παραπάνω.

21. 

Στην εικόνα φαίνεται πως μεταβάλλεται η ταχύτητα ενός κινητού σε συνάρτηση με το χρόνο, σε μια ευθύγραμμη κίνηση.

Εικόνα

H κίνηση που κάνει το σώμα είναι:

Α. 

Ευθύγραμμη ομαλή.

Β. 

Ευθύγραμμη ομαλά επιταχυνόμενη.

Γ. 

Ευθύγραμμη ομαλά επιβραδυνόμενη.

Δ. 

Τίποτα από τα παραπάνω.

 

22. 

To διάστημα που διανύει ένα σώμα, αυξάνεται ανάλογα με το τετράγωνο του χρόνου.

Η κίνηση που κάνει το σώμα είναι:

Α. 

Ευθύγραμμη ομαλή.

Β. 

Ευθύγραμμη ομαλά επιταχυνόμενη χωρίς αρχική ταχύτητα.

Γ. 

Ευθύγραμμη ομαλά επιβραδυνόμενη.

Δ. 

Τίποτα από τα παραπάνω.

23. 

H ταχύτητα ενός κινητού που κάνει ευθύγραμμη κίνηση ελαττώνεται μέχρι να μηδενιστεί. Μετά το κινητό συνεχίζει την κίνησή του σε αντίθετη κατεύθυνση.

Να χαρακτηρίσετε με (Σ) τις σωστές και με (A) τις λάθος προτάσεις.

Α. 

To διάστημα που διανύει το κινητό συνέχεια αυξάνεται.

Β. 


To διάστημα που διανύει το κινητό αυξάνεται και όταν γυρίσει προς τα πίσω αρχίζει να μειώνεται.

Γ. 

H μετατόπιση του κινητού συνέχεια αυξάνεται.

24. 

Στην εικόνα δίνεται το διάγραμμα επιτάχυνση - χρόνος, ενός οχήματος που ξεκινά από την ηρεμία και κινείται ευθύγραμμα για χρόνο t = 6s.

Εικόνα

Να συμπληρωθούν τα κενά στις επόμενες προτάσεις με έναν από τους όρους:

“ευθύγραμμη ομαλή”.

“ευθύγραμμη ομαλά επιβραδυνόμενη”.

“ευθύγραμμη ομαλά επιταχυνόμενη”.

Α. 

Στο χρονικό διάστημα από 0 - 2s η κίνηση είναι …………… .

Β. 

Στο χρονικό διάστημα από 2s - 4s η κίνηση είναι …………… .

Γ. 

Στο χρονικό διάστημα από 4s - 6s η κίνηση είναι …………… .

Ευθύγραμμη κίνηση

 

25. 

Να συμπληρωθούν τα κενά στις επόμενες προτάσεις:

Α. 




Σε διάγραμμα ταχύτητας - χρόνου για ένα κινητό, από το …………… του τμήματος μεταξύ γραφικής παράστασης και άξονα χρόνου, υπολογίζουμε τη θέση του κινητού.

Β. 



Σε ένα διάγραμμα ταχύτητας - χρόνου για ένα κινητό από την …………… της γραφικής παράστασης υπολογίζουμε την τιμή της επιτάχυνσης.

26. 

Στο διάγραμμα της εικόνας φαίνεται η γραφική παράσταση διαστήματος - χρόνου για δύο κινητά A και B. Ποιες από τις παρακάτω προτάσεις είναι σωστές;

Εικόνα

Α. 

To κινητό A έχει μεγαλύτερη ταχύτητα από το B.

Β. 

To κινητό B έχει μεγαλύτερη ταχύτητα από το Α.

Γ. 

Τα κινητά έχουν την ίδια ταχύτητα.

Δ. 

Τα κινητά δεν έχουν ταχύτητα.

27. 

Ένα αυτοκίνητο κάνει ευθύγραμμη κίνηση και η ταχύτητά του μεταβάλλεται όπως φαίνεται στην εικόνα.

Εικόνα

Να δικαιολογήσετε γιατί η κίνηση δεν είναι ομαλά επιταχυνόμενη. Σε ποια από τις χρονικές στιγμές t1 και t2 η επιτάχυνση του αυτοκινήτου είναι μεγαλύτερη;

 

28. 

Ένα κινητό κάνει ευθύγραμμη κίνηση και το διάστημα που διανύει μεταβάλλεται όπως στην εικόνα.

Εικόνα

Σε ποια από τις χρονικές στιγμές t1 και t2 η ταχύτητα του κινητού είναι μεγαλύτερη;

Να δικαιολογήσετε γιατί η κίνησή του δεν είναι ομαλή.

29. 

Ποιο από τα διαγράμματα της εικόνας ανταποκρίνεται σε ευθύγραμμη επιταχυνόμενη κίνηση;

Εικόνα

30. 

Στην εικόνα φαίνεται το διάγραμμα ταχύτητας - χρόνου, ενός αυτοκινήτου. To εμβαδό του τραπεζίου αντιπροσωπεύει.

Α. 

Την ταχύτητα του αυτοκινήτου.

Β. 

Την επιτάχυνση του αυτοκινήτου.

Γ. 

To διανυόμενο διάστημα.

Δ. 

Δεν αντιπροσωπεύει τίποτα από αυτά.

Εικόνα

Ευθύγραμμη κίνηση

 

31. 

Στην εικόνα φαίνονται τα διαγράμματα ταχύτητας - χρόνου για δύο δρομείς που κινούνται ευθύγραμμα.

Εικόνα

Με ποια από τις παρακάτω προτάσεις συμφωνείτε;

Α. 

Οι δύο δρομείς κινούνται με την ίδια επιτάχυνση.

Β. 

Οι δύο δρομείς κινούνται με την ίδια ταχύτητα.

Γ. 

Οι δύο δρομείς κινούνται ο ένας δίπλα στον άλλο.

Δ. 

Στον ίδιο χρόνο διανύουν ίσες αποστάσεις.

32. 

Στην εικόνα φαίνονται τα διαγράμματα διαστήματος - χρόνου για τρία σώματα Α, B και Γ που κινούνται ευθύγραμμα. Ποια από τις παρακάτω προτάσεις είναι η σωστή;

Εικόνα

Α. 



To σώμα A κινείται με σταθερή επιτάχυνση, το σώμα B κινείται με σταθερή ταχύτητα και το Γ είναι σταματημένο.

Β. 



To σώμα A κινείται με σταθερή ταχύτητα, το σώμα B με σταθερή επιτάχυνση και το σώμα Γ είναι σταματημένο.

Γ. 


To σώμα A κινείται με σταθερή επτάχυνση το σώμα B είναι σταματημένο και το σώμα Γ με σταθερή ταχύτητα.

 

33. 

To ταχύμετρο ενός αυτοκινήτου δείχνει:

Α. 

Την τιμή της στιγμιαίας ταχύτητας.

Β. 

Την τιμή της μέσης ταχύτητας.

Γ. 

Την ταχύτητα του αυτοκινήτου σε τιμή και κατεύθυνση.

Δ. 

Τίποτα από τα παραπάνω.

34. 

O χιλιομετρητής ενός αυτοκινήτου δείχνει 24.532km. H ένδειξη αυτή αντιπροσωπεύει.

Α. 

Τη συνολική μετατόπιση του αυτοκινήτου.

Β. 

To συνολικό διάστημα που έχει διανύσει το αυτοκίνητο.

Γ. 

Κατά μέσο όρο τη μετατόπιση του αυτοκινήτου.

Δ. 

Τίποτα από τα παραπάνω.

35. 

Να αντιστοιχίσετε τα φυσικά μεγέθη με τις μονάδες τους:

 

χρόνος

m/s2

ταχύτητα

s

μετατόπιση

m/s

επιτάχυνση

m

36. 

Να κατατάξετε τα παρακάτω φυσικά μεγέθη σε μονόμετρα και διανυσματικά.

Χρόνος, ταχύτητα, μετατόπιση, επιτάχυνση, διάστημα.

37. 

Να αντιστοιχίσετε τα είδη κινήσεων με τα διαγράμματα.

ευθύγραμμη ομαλή ………

ευθύγραμμη ομαλά επιταχυνόμενη ………

ευθύγραμμη ομαλά επιβραδυνόμενη ………

Εικόνα

Ευθύγραμμη κίνηση

 

38. 

Ένα αυτοκίνητο προσπερνά ένα άλλο. Τη χρονική στιγμή κατά την οποία τα δύο αυτοκίνητα βρίσκονται το ένα δίπλα στο άλλο:

Α. 

H ταχύτητα του ενός είναι ίση με την ταχύτητα του άλλου.

Β. 

Οι ταχύτητές τους είναι διαφορετικές.

Να δικαιολογήσετε την απάντησή σας.

39. 

O οδηγός ενός αυτοκινήτου φρενάρει όταν βλέπει να ανάβει το πορτοκαλί φως στο σηματοδότη ενός δρόμου:

Ποιες από τις παρακάτω προτάσεις είναι σωστές;

Α. 

H επιτάχυνση και η ταχύτητα έχουν αντίθετη φορά.

Β. 

H επιτάχυνση και η ταχύτητα έχουν την ίδια φορά.

Γ. 

H επιτάχυνση έχει ίδια φορά με τη μεταβολή της ταχύτητας.

Δ. 

H επιτάχυνση έχει αντίθετη φορά με τη μεταβολή της ταχύτητας.

 
 
 

40. 

Χαρακτηρίστε τις παρακάτω προτάσεις αν είναι σωστές (Σ), ή λανθασμένες (Λ).



Τη χρονική στιγμή που ξεκινά ένα ποδήλατο η ταχύτητά του είναι μηδέν.



Τη χρονική στιγμή που ξεκινά ένα ποδήλατο η επιτάχυνσή του είναι μηδέν.



H ταχύτητα και η επιτάχυνση έχουν την ίδια διεύθυνση στην ευθύγραμμη κίνηση.




H ταχύτητα και η επιτάχυνση έχουν πάντοτε την ίδια φορά στην ευθύγραμμη κίνηση.

41. 

Να περιγράψετε ένα τουλάχιστον τρόπο, με τον οποίο μπορείτε να διαπιστώσετε το είδος της κίνησης ενός ποδηλάτου.

ΑΣΚΗΣΕΙΣ - ΠΡΟΒΛΗΜΑΤΑ

1. 

Ενα αυτοκίνητο διανύει απόσταση 120m σε χρόνο 4s με σταθερή ταχύτητα. Να υπολογίσετε την τιμή της ταχύτητας του αυτοκινήτου και να κάνετε τα διαγράμματα ταχύτητας - χρόνου και διαστήματος - χρόνου.

2. 

Μια ατμομηχανή έχει μήκος Εικόνα, κινείται με ταχύτητα υ = 10m/s και περνά μια γέφυρα μήκους s = 1.980 m. Για πόσο χρόνο θα βρίσκεται τμήμα της ατμομηχανής πάνω στη γέφυρα;

3. 

Όχημα κάνει ευθύγραμμη κίνηση και το διάγραμμα ταχύτητας - χρόνου φαίνεται στην εικόνα.

Εικόνα

Α. 

Να βρεθεί το συνολικό διάστημα που διανύει το όχημα.

Β. 

Ποια είναι η τιμή της μέσης ταχύτητας του οχήματος;

Γ. 

Να γίνει το διάγραμμα διαστήματος - χρόνου.

4. 

Δύο αυτοκίνητα ξεκινάνε ταυτόχρονα από τα σημεία A και B μιας ευθύγραμμης διαδρομής κινούμενα αντίθετα με σταθερές ταχύτητες υ1 = 36km/h και υ2 = 54km/h αντίστοιχα.

Α. 


Να βρεθεί μετά από πόσο χρόνο και σε ποιο σημείο θα συναντηθούν τα αυτοκίνητα, αν είναι AB= 1km.

Β. 



Να γίνουν τα διαγράμματα ταχύτητας χρόνου και διαστήματος χρόνου και για τα δύο κινητά σε κοινά συστήματα αξόνων.

5. 

Περιπολικό αρχίζει να καταδιώκει μοτοσυκλετιστή που βρίσκεται σε απόσταση d = 500m μπροστά από το περιπολικό. To περιπολικό έχει σταθερή ταχύτητα υπ = 30m/s, ενώ ο μοτοσυκλετιστής κινείται με σταθερή ταχύτητα υΜ =20m/s.

Να βρεθούν:

Α. 

O χρόνος t που απαιτείται για να φτάσει το περιπολικό τον μοτοσυκλετιστή.

Β. 

To διάστημα που θα διανύσει το περιπολικό στο χρόνο αυτό.

6. 

H εξίσωση κίνησης ενός ποδηλάτη που κινείται σε ευθύγραμμη τροχιά είναι:

x = 10t (x σε m, t σε s).

Να γίνει το διάγραμμα ταχύτητας - χρόνου για την κίνηση αυτή, από t = 0 μέχρι t = 5s.

Να υπολογίσετε το διάστημα που διάνυσε ο ποδηλάτης σε 5s.

7. 

Ένας μοτοσυκλετιστής ξεκινά από την ηρεμία και κινείται σε ευθύγραμμο δρόμο με σταθερή επιτάχυνση 2m/s2.

Να υπολογιστούν:

Α. 

H ταχύτητά του μετά από 15s.

Β. 

H απόσταση που διάνυσε στο χρόνο αυτό.

8. 

Στην εικόνα φαίνεται το διάγραμμα ταχύτητας - χρόνου για ένα κινητό που κάνει ευθύγραμμη κίνηση.

Εικόνα

Να υπολογίσετε:

Α. 

To διάστημα που διάνυσε το κινητό σε χρόνο 10s.

Β. 

To διάστημα που διάνυσε το κινητό στο 2o δευτερόλεπτο της κίνησής του.

Ευθύγραμμη κίνηση

 

9. 

H γραφική παράσταση της τιμής της ταχύτητας ενός κινητού σε συνάρτηση με το χρόνο, στα πρώτα 30s της κίνησής του δίνεται από το διάγραμμα της εικόνας.

Εικόνα

Να υπολογιστούν:

Α. 

To συνολικό διάστημα που διάνυσε το κινητό.

Β. 

H τιμή της μέσης ταχύτητας του κινητού.

10. 

H ταχύτητα ενός αυτοκινήτου σε μια ευθύγραμμη κίνηση δίνεται από τη σχέση

υ = 8 + 2t (υ σε m/s, t σε s).

Να βρείτε το διάστημα που διάνυσε το αυτοκίνητο από τη χρονική στιγμή 2s μέχρι τη χρονική στιγμή 4s.

*11. 

Δύο κινητά βρίσκονται στο ίδιο σημείο ευθύγραμμου δρόμου και ξεκινούν ταυτόχρονα. Στο διάγραμμα της εικόνας φαίνονται οι γραφικές παραστάσεις ταχύτητας - χρόνου για τα δύο αυτά κινητά.

Εικόνα

Να υπολογιστούν:

Α. 

Σε ποια χρονική στιγμή η ταχύτητα των κινητών έχει την ίδια τιμή;

Β. 

Στα 10s πόσα m προηγείται το κινητό β του κινητού α;

Γ. 

Σε ποια χρονική στιγμή συναντώνται τα κινητά;

 

12. 

Ένα αυτοκίνητο ξεκινά από την ηρεμία και κινείται με σταθερή επιτάχυνση. Για να περάσει από δύο σημεία A και B που απέχουν μεταξύ τους απόσταση d = 200m χρειάζεται χρόνο 10s. Av η ταχύτητα του αυτοκινήτου τη στιγμή που περνά από το σημείο B είναι υΒ = 30m/s να βρεθούν:

Α. 

η ταχύτητά του όταν περνά από το σημείο A και

Β. 

η επιτάχυνσή του.

*13. 

Αυτοκίνητο κινείται σε οριζόντιο δρόμο με ταχύτητα μέτρου υ0 = 721(km/h). Ξαφνικά σε απόσταση 50m ο οδηγός βλέπει εμπόδιο. O χρόνος αντίδρασης του οδηγού είναι t1 = 0,7s (ο χρόνος από τη στιγμή που βλέπει το εμπόδιο μέχρι να πατήσει το φρένο).

Να εξετάσετε αν αποφεύγεται η σύγκρουση του αυτοκινήτου με το εμπόδιο. H επιβράδυνση που προκαλούν τα φρένα είναι 10m/s2.

14. 

Τρένο μήκους Εικόνα περνά από γέφυρα μήκους s = 55m. To τρένο έχει αρχική ταχύτητα υ0 = 20m/s και τη στιγμή που φτάνει στην γέφυρα αρχίζει να επιταχύνεται ομαλά με α = 2m/s2.

Nα βρείτε επί πόσο χρόνο βρίσκεται τμήμα του τρένου πάνω στη γέφυρα.

15. 

Οι εξισώσεις κίνησης δύο οχημάτων τα οποία κινούνται κατά μήκος του προσανατολισμένου άξονα Ox είναι:

x1 = 10t και x2 = 4t2 στο S.I.

Α. 

Nα υπολογίσετε τη χρονική στιγμή που τα κινητά συναντώνται.

Β. 


Nα κατασκευάσετε τα διαγράμματα, ταχύτητας - χρόνου και διαστήματος - χρόνου.

Ευθύγραμμη κίνηση

 

16. 

H κίνηση ενός δρομέα δίνεται προσεγγιστικά από το παρακάτω διάγραμμα ταχύτητας - χρόνου.

Εικόνα

Να υπολογίσετε:

Α. 

Τη μέση ταχύτητα του δρομέα και

Β. 

Την επιτάχυνσή του, όπου η κίνηση είναι μεταβαλλόμενη.

17. 

Ένα αυτοκίνητο κινείται με σταθερή ταχύτητα υ0 = 10m/s και ο οδηγός κάνοντας χρήση των φρένων προκαλεί στο αυτοκίνητο σταθερή επιβράδυνση α = 2m/s2.

Α. 



Μετά από πόσο χρόνο η ταχύτητα του αυτοκινήτου θα υποδιπλασιαστεί και πόσο διάστημα θα έχει διανύσει στο χρόνο αυτό;

Β. 


Για πόσο χρόνο θα κινηθεί το αυτοκίνητο με τη σταθερή αυτή επιβράδυνση και πόσο διάστημα θα διανύσει;

 

*18. 

Ένα αυτοκίνητο και μια μοτοσυκλέτα είναι ακίνητα στην αρχή μιας αγωνιστικής πίστας. To αυτοκίνητο ξεκινάει κινούμενο με σταθερή επιτάχυνση α1 = l,6m/s2 και 4 δευτερόλεπτα κατόπιν, ξεκινάει ο μοτοσυκλετιστής ο οποίος καταδιώκει το αυτοκίνητο με σταθερή επιτάχυνση α2 = 2,5m/s2.

Α. 



Μετά από πόσο χρόνο, από το ξεκίνημα του αυτοκινήτου, ο μοτοσυκλετιστής θα φτάσει το αυτοκίνητο και τι διάστημα θα έχουν διανύσει μέχριτότε;

Β. 



Πόση, είναι η ταχύτητα κάθε οχήματος τη στιγμή της συνάντησης και πόση η μέση ταχύτητα με την οποία κινήθηκε μέχρι τότε το αυτοκίνητο;

Γ. 

Nα κάνετε για το αυτοκίνητο τα διαγράμματα υ = f(t) και s = f(t).

19. 

Στο διάγραμμα αποδίδεται γραφικά η ταχύτητα ενός κινητού σε συνάρτηση με το χρόνο.

Εικόνα

Α. 

Nα περιγράψετε την κίνηση του κινητού έως τη χρονική στιγμή 25s.

Β. 


Nα υπολογίσετε την επιτάχυνσή του, από τη χρονική στιγμή μηδέν έως τη χρονική στιγμή 5s.

Γ. 


Nα υπολογίσετε το διάστημα που διανύει το κινητό και τη μετατόπισή του για τα 25s της κίνησής του.

Δ. 

Nα βρείτε τη μέση ταχύτητα του κινητού στη διάρκεια των 25s.