Μαθηματικά και Στοιχεία Στατιστικής (Γ Λυκείου Γενικής Παιδείας) - Βιβλίο Μαθητή

2.3 ΜΕΤΡΑ ΘΕΣΗΣ ΚΑΙ ΔΙΑΣΠΟΡΑΣ

Εισαγωγή

Εκτός από τους στατιστικούς πίνακες και τα διαγράμματα υπάρχουν και αριθμητικά μέτρα με τα οποία μπορούμε να περιγράψουμε με συντομία μια κατανομή συχνοτήτων. Η γνώση των μέτρων αυτών διευκολύνει και την παραπέρα στατιστική επεξεργασία των δεδομένων. Έστω, για παράδειγμα, ένας καθηγητής ο οποίος, για να συγκρίνει δύο διαφορετικά τμήματα Α και Β της ίδιας τάξης ως προς την επίδοσή τους σε ένα μάθημα, πήρε τυχαία 10 μαθητές από κάθε τμήμα. Η βαθμολογία τους στο μάθημα αυτό ήταν:

Τμήμα Α: 13 13 14 15 15 15 15 16 16 18
Τμήμα Β: 10 13 14 14 15 15 15 16 18 20.

Τα διαγράμματα σχετικών συχνοτήτων δίνονται στα σχήματα 11(α), (β).

Εικόνα Εικόνα

(α)

(β)

Παρατηρούμε ότι η βαθμολογία και των δύο τμημάτων είναι συγκεντρωμένη γύρω στο 15, αλλά το δεύτερο τμήμα παρουσιάζει μεγαλύτερη διασπορά βαθμών από το πρώτο. Δηλαδή, οι βαθμοί του Β΄ τμήματος είναι περισσότερο διασκορπισμένοι γύρω από μια “κεντρική” τιμή. Οι έννοιες “κεντρική τιμή” και “διασπορά των παρατηρήσεων” μας δίνουν το ερέθισμα για έναν ακόμα πιο σύντομο τρόπο περιγραφής της κατανομής ενός συνόλου δεδομένων. Για να ορίσουμε δηλαδή κάποια μέτρα (αριθμητικά μεγέθη), που να μας δίνουν α) τη θέση του “κέντρου” των παρατηρήσεων στον οριζόντιο άξονα και β) τη διασπορά των παρατηρήσεων, δηλαδή πόσο αυτές εκτείνονται γύρω από το “κέντρο” τους. Τα πρώτα τα καλούμε μέτρα θέσης της κατανομής (location measures), ενώ τα δεύτερα μέτρα διασποράς ή μέτρα μεταβλητότητας (measures of variability).

Εκτός από τα μέτρα θέσης και διασποράς μιας κατανομής πολλές φορές είναι απαραίτητος και ο προσδιορισμός κάποιων άλλων μέτρων, που καθορίζουν τη μορφή της κατανομής. Κατά πόσο δηλαδή η αντίστοιχη καμπύλη συχνοτήτων είναι συμμετρική ή όχι ως προς την ευθεία x = x0, για δεδομένο σημείο x0 του άξονα 0x. Τα μέτρα αυτά, που συνήθως εκφράζονται σε συνάρτηση με τα μέτρα θέσης και διασποράς, καλούνται μέτρα ασυμμετρίας (measures of skewness).

Εικόνα

Υπολογίζοντας από ένα σύνολο δεδομένων κάποια από τα ανωτέρω μέτρα, μπορούμε να έχουμε μια σύντομη περιγραφή της μορφής της καμπύλης συχνοτήτων. Στο σχήμα 12 οι καμπύλες συχνοτήτων Α και Β είναι συμμετρικές με το ίδιο “κέντρο” x0, αλλά η Β έχει μεγαλύτερη μεταβλητότητα από την Α. Οι καμπύλες Γ και Δ είναι ασύμμετρες, με τη Γ όπως λέμε να παρουσιάζει θετική ασυμμετρία και τη Δ αρνητική ασυμμετρία. Το “κέντρο” της Γ είναι αριστερότερα του x0, ενώ της Δ είναι δεξιότερα του x0. Η Δ παρουσιάζει μεγαλύτερη μεταβλητότητα από τη Γ.


Μέτρα Θέσης

Τα πιο συνηθισμένα μέτρα που χρησιμοποιούνται για την περιγραφή της θέσης ενός συνόλου δεδομένων πάνω στον οριζόντιο άξονα ox, εκφράζοντας την “κατά μέσο όρο” απόστασή τους από την αρχή των αξόνων, είναι ο αριθμητικός μέσος ή μέση τιμή (arithmetic mean or average), η διάμεσος (median) και η κορυφή ή επικρατούσα τιμή (mode).

α) Μέση Τιμή Εικόνα

Η μέση τιμή ενός συνόλου ν παρατηρήσεων αποτελεί το σπουδαιότερο και χρησιμότερο μέτρο της Στατιστικής και ορίζεται ως το άθροισμα των παρατηρήσεων διά του πλήθους των παρατηρήσεων.
Όταν σε ένα δείγμα μεγέθους ν οι παρατηρήσεις μιας μεταβλητής Χ είναι t1,t2,...,tv, τότε η μέση τιμή συμβολίζεται με Εικόνα και δίνεται από τη σχέση:

Εικόνα

όπου το σύμβολο Εικόνα παριστάνει μια συντομογραφία του αθροίσματος t1+t2+...+tv και διαβάζεται “άθροισμα των t1 από i = 1 έως ν”. Συχνά, όταν δεν υπάρχει πρόβλημα σύγχυσης, συμβολίζεται και ως Εικόνα ή ακόμα πιο απλά με Εικόνα
Σε μια κατανομή συχνοτήτων, αν x1, x2 ,..., xκ είναι οι τιμές της μεταβλητής Χ με συχνότητες v1,v2,...,vκ αντίστοιχα, η μέση τιμή ορίζεται ισοδύναμα από τη σχέση:

Εικόνα

Η παραπάνω σχέση ισοδύναμα γράφεται:

Εικόνα

όπου fi οι σχετικές συχνότητες. Για παράδειγμα, η μέση επίδοση των μαθητών στο τμήμα Α θα είναι σύμφωνα με την (1)

Εικόνα

ή ισοδύναμα από τον αντίστοιχο πίνακα συχνοτήτων σύμφωνα με την (2).

Βαθμός
xi
Συχνότητα
vi

xivi
13
14
15
16
18
2
1
4
2
1
26
14
60
32
18
Σύνολο νΑ = 10  Σxiνi = 150

Εικόνα

Ομοίως, υπολογίζεται και η μέση επίδοση για το τμήμα Β, η οποία είναι πάλι

Εικόνα







Επίσης, το μέσο ύψος των 40 μαθητών της Γ΄ Λυκείου του πίνακα 8, σύμφωνα με τη σχέση (1) είναι Εικόνα

Για ευκολότερο όμως υπολογισμό χρησιμοποιούμε τον πίνακα συχνοτήτων, όπως αυτός δίνεται παρακάτω, ομαδοποιώντας τα δεδομένα σε κ = 6 κλάσεις. Αν xi είναι το κέντρο της i κλάσης και νi η αντίστοιχη συχνότητα, τότε σύμφωνα με τη σχέση (2) η μέση τιμή θα είναι:

Εικόνα

Παρατηρούμε ότι οι δύο μέσες τιμές του ίδιου συνόλου δεδομένων δεν είναι ακριβώς οι ίδιες. Πού οφείλεται αυτή η, έστω και μικρή, διαφορά;

Ύψος
σε cm
Κεντρικές
τιμές
xi

Συχνότητα
vi


xivi
156-162
162-168
168-174
174-180
180-186
186-192
159
165
171
177
183
189
2
8
12
11
5
2
318
1320
2025
1947
915
378
  Σύνολο Σνi = 40  Σxiνi = 6903

Η διαφορά αυτή οφείλεται στο γεγονός ότι κατά την ομαδοποίηση υποθέσαμε ότι οι παρατηρήσεις κάθε κλάσης είναι ομοιόμορφα κατανεμημένες και ότι οι τιμές της μεταβλητής σε κάθε κλάση εκπροσωπούνται από την αντίστοιχη κεντρική τιμή xi. Η υπόθεση αυτή σημαίνει απώλεια πληροφοριών για τις αρχικές τιμές. Χάνουμε λοιπόν λίγο ως προς στην ακρίβεια κερδίζουμε όμως χρόνο!







β) Σταθμικός Μέσος

Στις περιπτώσεις που δίνεται διαφορετική βαρύτητα (έμφαση) στις τιμές x1, x2 ,..., xν ενός συνόλου δεδομένων, τότε αντί του αριθμητικού μέσου χρησιμοποιούμε τον σταθμισμένο αριθμητικό μέσο ή σταθμικό μέσο (weighted mean).

Εάν σε κάθε τιμή x1, x2,..., xν δώσουμε διαφορετική βαρύτητα, που εκφράζεται με τους λεγόμενους συντελεστές στάθμισης (βαρύτητας) w1, w2,..., wν, τότε ο σταθμικός μέσος βρίσκεται από τον τύπο:

Εικόνα

Για παράδειγμα, με το νέο σύστημα, για την εισαγωγή ενός μαθητή στην τριτοβάθμια εκπαίδευση θα συνυπολογίζονται ο βαθμός x1 του απολυτηρίου του Ενιαίου Λυκείου με συντελεστή (βάρος) w1 = 7 ,5, ο βαθμός x2 στο τεστ δεξιοτήτων με συντελεστή w2 = 1, ο βαθμός x3 στο 1ο βασικό μάθημα με συντελεστή w3 = 1 και ο βαθμός x4 στο 2ο βασικό μάθημα με συντελεστή w4 = 0,5. Εάν ένας μαθητής πάρει τους βαθμούς x1 = 16,5, x2 = 18, x3 = 17 και x4 = 16,6, τότε ο σταθμικός μέσος της επίδοσης του θα είναι:

Εικόνα


γ) Διάμεσος (δ)

Οι χρόνοι (σε λεπτά) που χρειάστηκαν 9 μαθητές, για να λύσουν ένα πρόβλημα είναι: 3, 5, 5, 36, 6, 7, 4, 7, 8 με μέση τιμή Εικόνα Παρατηρούμε όμως ότι οι οκτώ από τις εννέα παρατηρήσεις είναι μικρότερες του 9 και μία (ακραία τιμή), η οποία επηρεάζει και τη μέση τιμή είναι, αρκετά μεγαλύτερη του 9. Αυτό σημαίνει ότι η μέση τιμή δεν ενδείκνυται ως μέτρο θέσης (“κέντρο”) των παρατηρήσεων αυτών. Αντίθετα, ένα άλλο μέτρο θέσης που δεν επηρεάζεται από ακραίες παρατηρήσεις είναι η διάμεσος (median), η οποία ορίζεται ως εξής:

Διάμεσος (δ) ενός δείγματος ν παρατηρήσεων οι οποίες έχουν διαταχθεί σε αύξουσα σειρά ορίζεται ως η μεσαία παρατήρηση, όταν το ν είναι περιττός αριθμός, ή ο μέσος όρος (ημιάθροισμα) των δύο μεσαίων παρατηρήσεων όταν το ν είναι άρτιος αριθμός.


Για παράδειγμα, για να βρούμε τη διάμεσο των δεδομένων:
α) 3, 4, 0, 6, 5, 8, 1, 1, 6, 1, 2, 8, 9
β) 3, 4, 0, 6, 5, 8, 1, 1, 6, 1, 2, 8, 9, 9
εργαζόμαστε ως εξής:

α) Έχουμε ν = 13 παρατηρήσεις, οι οποίες σε αύξουσα σειρά είναι:

0 1 1 1 2 3 4 5 6 6 8 8 9.

Άρα, η διάμεσος είναι η μεσαία παρατήρηση (έβδομη στη σειρά), δ = 4.

β) Έχουμε ν = 14 παρατηρήσεις οι οποίες σε αύξουσα σειρά είναι:

0 1 1 1 2 3 4 5 6 6 8 8 9 9.

Άρα, η διάμεσος είναι το ημιάθροισμα των δύο μεσαίων παρατηρήσεων (της έβδομης και όγδοης στη σειρά), δηλαδή Εικόνα

Παρατηρούμε ότι, η διάμεσος είναι η τιμή που χωρίζει ένα σύνολο παρατηρήσεων σε δύο ίσα μέρη όταν οι παρατηρήσεις αυτές τοποθετηθούν με σειρά τάξης μεγέθους. Ακριβέστερα, η διάμεσος είναι η τιμή για την οποία το πολύ 50% των παρατηρήσεων είναι μικρότερες από αυτήν και το πολύ 50% των παρατηρήσεων είναι μεγαλύτερες από την τιμή αυτήν.

Διάμεσος σε Ομαδοποιημένα Δεδομένα

Θεωρούμε τα δεδομένα του ύψους των μαθητών στον πίνακα 9 και το αντίστοιχο ιστόγραμμα αθροιστικών σχετικών συχνοτήτων με την πολυγωνική γραμμή, σχήμα 13. Η διάμεσος, όπως ορίστηκε, αντιστοιχεί στην τιμή x = δ της μεταβλητής Χ (στον οριζόντιο άξονα), έτσι ώστε το 50% των παρατηρήσεων να είναι μικρότερες ή ίσες του δ. Δηλαδή, η διάμεσος θα έχει αθροιστική σχετική συχνότητα Fi = 50% . Εφόσον στον κάθετο άξονα έχουμετις αθροιστικές σχετικές συχνότητες, από το σημείο Α (50% των παρατηρήσεων) φέρουμε την Εικόνα και στη συνέχεια τη Εικόνα Τότε, στο σημείο Γ αντιστοιχεί η διάμεσος δ των παρατηρήσεων. Δηλαδή, δ ≈ 173.

Εικόνα

δ) Εκατοστημόρια (Pκ)

Όπως ορίσαμε τη διάμεσο δ, έτσι ώστε το πολύ 50% των παρατηρήσεων να είναι μικρότερες του δ και το πολύ 50% των παρατηρήσεων να είναι μεγαλύτερες του δ, μπορούμε ανάλογα να ορίσουμε και τα εκατοστημόρια (percentiles) Pκ, κ = 1,2,...,99 . Οι τιμές P1, P2,..., P99 χωρίζουν τη συνολική συχνότητα σε 100 ίσα μέρη. Επομένως, αναλόγως και με τον ορισμό της διαμέσου, ορίζουμε ως κ-εκατοστιαίο σημείο ή Pκ εκατοστημόριο ενός συνόλου παρατηρήσεων την τιμή εκείνη για την οποία το πολύ κ% των παρατηρήσεων είναι μικρότερες του Pκ και το πολύ (100-κ)% των παρατηρήσεων είναι μεγαλύτερες από την τιμή αυτήν.
Ειδική περίπτωση εκατοστημορίων είναι τα P25, P50, P75, τα οποία καλούνται τεταρτημόρια (quartiles) και συμβολίζονται με Q1, Q2 και Q3, αντίστοιχα. Για το Q1 έχουμε αριστερά το πολύ 25% των παρατηρήσεων και δεξιά το πολύ 75%. Όμοια για το Q3 έχουμε αριστερά το πολύ 75% των παρατηρήσεων και δεξιά το πολύ 25% των παρατηρήσεων. Προφανώς το Q2 = P50 συμπίπτει και με τη διάμεσο, δηλαδή Q2 = δ. Τα μέτρα αυτά χρησιμοποιούνται αρκετά συχνά για τη μελέτη ενός συνόλου δεδομένων.
Συχνά για ευκολία ο υπολογισμός των τεταρτημορίων Q1 και Q3 ενός συνόλου δεδομένων γίνεται κατά προσέγγιση υπολογίζοντας τις διαμέσους του πρώτου και του δεύτερου μισού των διατεταγμένων παρατηρήσεων, αντίστοιχα. Για παράδειγμα, προκειμένου να υπολογίσουμε τα τεταρτημόρια των δεδομένων 3, 4, 0, 6, 5, 8, 1, 1, 6, 1, 2, 8, 9, εργαζόμαστε ως εξής:

  • Διατάσσουμε τις παρατηρήσεις σε αύξουσα σειρά μεγέθους:
    Έχουμε ν = 13 παρατηρήσεις, οι οποίες σε αύξουσα σειρά είναι:

    0 1 1 1 2 3 4 5 6 6 8 8 9.

  • Υπολογίζουμε τη διάμεσο, όπως προαναφέραμε:
    H διάμεσος είναι η έβδομη στη σειρά παρατήρηση, δηλαδή δ = 4.
  • Υπολογίζουμε τη διάμεσο του πρώτου μισού των διατεταγμένων παρατηρήσεων, δηλαδή των παρατηρήσεων που είναι αριστερά του δ. Η τιμή αυτή είναι το Q1:
    Η διάμεσος των παρατηρήσεων που είναι αριστερά του δ, δηλαδή των 0 1 1 1 2 3, είναι το Εικόνα
  • Υπολογίζουμε τη διάμεσο του δεύτερου μισού των διατεταγμένων παρατηρήσεων, δηλαδή των παρατηρήσεων που είναι δεξιά του δ. Η τιμή αυτή είναι το Q3.
    Η διάμεσος των παρατηρήσεων που είναι δεξιά του δ, δηλαδή των 5 6 6 8 8 9, είναι το Εικόνα

Εκατοστημόρια σε Ομαδοποιημένα Δεδομένα

Ο υπολογισμός των εκατοστημορίων (ή τεταρτημορίων) σε ομαδοποιημένα δεδομένα γίνεται όπως και στη διάμεσο από το πολύγωνο αθροιστικών σχετικών συχνοτήτων. Στο σχήμα 13 δίνονται τα Q1, Q2 = δ, Q3 και P10, P90 για τα δεδομένα του πίνακα 9, από το οποίο βρίσκουμε κατά προσέγγιση:

P10 = 162,5,  Q1 = 168,  δ =173,  Q3 = 178  και  P90 = 184.

ε) Επικρατούσα Τιμή (M0)

Στην περίπτωση μη ομαδοποιημένων δεδομένων επικρατούσα τιμή ή κορυφή (mode) M0 ορίζεται ως η παρατήρηση με τη μεγαλύτερη συχνότητα. Είναι προφανές ότι η επικρατούσα τιμή μπορεί να οριστεί και στην περίπτωση ποιοτικών δεδομένων, ενώ τα άλλα μέτρα που είδαμε ορίζονται μόνο για ποσοτικά δεδομένα. Για παράδειγμα:
α) Η επικρατούσα τιμή (επικρατούσα απασχόληση) για την απασχόληση των μαθητών του πίνακα 5 στον ελεύθερο χρόνο τους είναι M0 "Μουσική".
β) Η επικρατούσα τιμή του αριθμού των αδελφών των μαθητών στον πίνακα 6 είναι M0 = 1, δηλαδή οι περισσότερες οικογένειες (55%) έχουν δύο παιδιά.

xi vi
0
1
2
3
4
5
7
8
1
2
3
1
3
2
1
1

γ) Για να βρούμε την επικρατούσα τιμή των παρατηρήσεων 0 1 1 2 2 2 3 4 4 4 5 5 7 8, κατασκευάζουμε το διπλανό πίνακα συχνοτήτων. Οι τιμές 2 και 4 είναι και οι δύο επικρατούσες τιμές, γιατί καθεμιά έχει συχνότητα 3. Βλέπουμε εδώ ότι η επικρατούσα τιμή μπορεί να μην είναι μοναδική. Όταν έχουμε δύο κορυφές, η αντίστοιχη κατανομή συχνοτήτων λέγεται δικόρυφη (bimodal), ενώ όταν έχουμε πολλές κορυφές λέγεται πολυκόρυφη (multimodal).
δ) Όταν όλες οι παρατηρήσεις είναι διαφορετικές, τότε λέμε ότι δεν υπάρχει επικρατούσα τιμή. Έτσι, για τις παρατηρήσεις 0, 1, 2, 7, 8, 9 δεν έχουμε επικρατούσα τιμή.


Επικρατούσα Τιμή σε Ομαδοποιημένα Δεδομένα

Όταν έχουμε ομαδοποιημένα (ποσοτικά) δεδομένα σε ισοπλατείς κλάσεις, τότε βρίσκουμε πρώτα την επικρατούσα κλάση i, δηλαδή την κλάση με τη μεγαλύτερη συχνότητα.

Εικόνα

Υποθέτοντας, όπως έχουμε ήδη αναφέρει και προηγουμένως, ότι οι παρατηρήσεις στις κλάσεις κατανέμονται ομοιόμορφα, η επικρατούσα τιμή προσδιορίζεται, όπως φαίνεται στο διπλανό σχήμα 14, ως η τετμημένη του σημείου τομής Ζ των ευθύγραμμων τμημάτων ΑΓ και ΒΔ. Στο σχήμα αυτό δίνεται η κορυφή για το ύψος των μαθητών του πίνακα 9. Κατά προσέγγιση η κορυφή (επικρατέστερο ύψος) είναι M0 ≈173 cm.







Μέτρα Διασποράς

Στα προηγούμενα είδαμε ότι τα μέτρα θέσης παρέχουν κάποια πληροφορία για την κατανομή ενός πληθυσμού. Αυτά όμως δεν επαρκούν, για να περιγράψουν πλήρως την κατανομή, όπως διαπιστώσαμε στην αρχή της § 2.3 συγκρίνοντας τις βαθμολογίες των μαθητών δύο τμημάτων Α και Β στα σχήματα 11(α), (β). Ενώ οι βαθμολογίες των δύο τμημάτων Α και Β έχουν ίσες μέσες τιμές Εικόνα και ίσες διαμέσους δΑ = δΒ = 15, είναι φανερό ότι οι κατανομές τους διαφέρουν σημαντικά ως προς τη μεταβλητότητά τους. Οι βαθμοί του τμήματος Α είναι περισσότερο “συγκεντρωμένοι” γύρω από τη μέση τιμή, ενώ, αντίθετα, οι βαθμοί του τμήματος Β διασπείρονται περισσότερο, έχουν δηλαδή μεγάλες αποκλίσεις γύρω από τη μέση τιμή τους.
Παράλληλα λοιπόν με τα μέτρα θέσης κρίνεται απαραίτητη και η εξέταση κάποιων μέτρων διασποράς ή μεταβλητότητας, δηλαδή μέτρων που εκφράζουν τις αποκλίσεις των τιμών μιας μεταβλητής γύρω από τα μέτρα κεντρικής τάσης. Τέτοια μέτρα λέγονται μέτρα διασποράς (measures of variation, dispersion measures). Τα σπουδαιότερα μέτρα διασποράς είναι το εύρος, η ενδοτεταρτημοριακή απόκλιση, η διακύμανση και η τυπική απόκλιση.

α) Εύρος (R)

Το απλούστερο από τα μέτρα διασποράς είναι το εύρος ή κύμανση (range) (R), που ορίζεται ως η διαφορά της ελάχιστης παρατήρησης από τη μέγιστη παρατήρηση, δηλαδή:


Εύρος R = Μεγαλύτερη παρατήρηση-Μικρότερη παρατήρηση


Έτσι, για τη βαθμολογία του τμήματος Α το εύρος είναι RA = 18 - 13 = 5, ενώ για το τμήμα Β, RB = 20 - 10 = 10, τιμές που επιβεβαιώνουν ότι πράγματι στο τμήμα Β έχουμε μεγαλύτερη διασπορά βαθμολογίαςπαρά στο τμήμα Α.
Όταν έχουμε ομαδοποιημένα δεδομένα, το εύρος δίνεται από τη διαφορά του κατώτερου ορίου της πρώτης κλάσης από το ανώτερο όριο της τελευταίας κλάσης. Το εύρος των υψών των μαθητών του δείγματος στον πίνακα 9 είναι R = 192 - 156 = 36. Προφανώς, το εύρος σε ομαδοποιημένα δεδομένα μπορεί να διαφέρει ελαφρώς από τα αντίστοιχα δεδομένα πριν αυτά ομαδοποιηθούν. Για παράδειγμα, το εύρος των υψών στον πίνακα 8, πριν αυτά ομαδοποιηθούν, βρήκαμε ότι είναι R =191 - 156 = 35.
Το εύρος είναι ένα αρκετά απλό μέτρο, που υπολογίζεται εύκολα δε θεωρείται όμως αξιόπιστο μέτρο διασποράς, γιατί βασίζεται μόνο στις δυο ακραίες παρατηρήσεις.

β) Ενδοτεταρτημοριακό Εύρος (Q)

Το ενδοτεταρτημοριακό εύρος (interquartile range) είναι η διαφορά του πρώτου τεταρτημορίου Q1 από το τρίτο τεταρτημόριο Q3, δηλαδή:

Q = Q3 - Q1


Στο μεταξύ τους διάστημα περιλαμβάνεται το 50% των παρατηρήσεων. Επομένως όσο μικρότερο είναι αυτό το διάστημα, τόσο μεγαλύτερη θα είναι η συγκέντρωση των τιμών και άρα μικρότερη η διασπορά των τιμών της μεταβλητής.
Από τα δεδομένα του σχήματος 13 βρήκαμε κατά προσέγγιση Q1 = 168, Q3 = 178 επομένως το ενδοτεταρτημοριακό εύρος είναι Q = 10. Δηλαδή το 50% των μαθητών έχουν ύψος μεταξύ 168 και 178 cm.

γ) Διακύμανση (s2)

Ένας άλλος τρόπος για να υπολογίσουμε τη διασπορά των παρατηρήσεων t1,t2,...,tv μιας μεταβλητής Χ θα ήταν να αφαιρέσουμε τη μέση τιμή Εικόνα από κάθε παρατήρηση και να βρούμε τον αριθμητικό μέσο των διαφορών αυτών, δηλαδή τον αριθμό:

Εικόνα

Ο αριθμός όμως αυτός είναι ίσος με μηδέν, αφού

Εικόνα

Γι’αυτό, ως ένα μέτρο διασποράς παίρνουμε τον μέσο όρο των τετραγώνων των αποκλίσεων των t1 από τη μέση τιμή τους Εικόνα. Το μέτρο αυτό καλείται διακύμανση ή διασπορά (variance) και ορίζεται από τη σχέση

Εικόνα

Ο τύπος αυτός αποδεικνύεται ότι μπορεί να πάρει την ισοδύναμη μορφή:

Εικόνα

η οποία διευκολύνει σημαντικά τους υπολογισμούς κυρίως όταν η μέση τιμή Εικόνα δεν είναι ακέραιος αριθμός. Όταν έχουμε πίνακα συχνοτήτων ή ομαδοποιημένα δεδομένα, η διακύμανση ορίζεται από τη σχέση:

Εικόνα

ή την ισοδύναμη μορφή:

Εικόνα  (4)

όπου x1, x2 ,...,xκ οι τιμές της μεταβλητής (ή τα κέντρα των κλάσεων) με αντίστοιχες συχνότητες ν1, ν2,..., νκ.
Για παράδειγμα, η διακύμανση της βαθμολογίας των μαθητών του τμήματος Α είναι σύμφωνα με την (1)

Εικόνα

ενώ για τους μαθητές του τμήματος Β βρίσκουμε Εικόνα που επιβεβαιώνει τη διαπίστωσή μας ότι η βαθμολογία των μαθητών του τμήματος Β παρουσιάζει μεγαλύτερη μεταβλητότητα από τη βαθμολογία των μαθητών του τμήματος Α.
Ομοίως, η διακύμανση του ύψους των μαθητών για τα ομαδοποιημένα δεδομένα του πίνακα 9, υπολογίζεται σύμφωνα με τον τύπο (3), όπως φαίνεται στον επόμενο πίνακα:

Κλάσεις
[ -)
Κεντρικές
τιμές xi
Συχνότητα
vi

Εικόνα

xivi

Εικόνα
156-162
162-168
168-174
174-180
180-186
186-192
159
165
171
177
183
189
2
8
12
11
5
2
25281
27225
29241
31329
33489
35721
318
1320
2052
1942
915
378
50562
217800
350892
344619
167445
71442
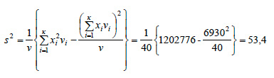
Σύνολο ν = 40 - Σxivi = 6930 Εικόνα = 1202760

Επομένως:

Εικόνα

Εάν υπολογίσουμε τη διακύμανση από τα μη ομαδοποιημένα δεδομένα του πίνακα 8, βρίσκουμε s2 = 50,9. Η διαφορά αυτή οφείλεται στην απώλεια πληροφορίας λόγω ομαδοποίησης των παρατηρήσεων.

δ) Τυπική Απόκλιση (s)

Η διακύμανση είναι μια αξιόπιστη παράμετρος διασποράς, αλλά έχει ένα μειονέκτημα. Δεν εκφράζεται με τις μονάδες με τις οποίες εκφράζονται οι παρατηρήσεις. Για παράδειγμα, αν οι παρατηρήσεις εκφράζονται σε cm, η διακύμανση εκφράζεται σε cm2. Αν όμως πάρουμε τη θετική τετραγωνική ρίζα της διακύμανσης, θα έχουμε ένα μέτρο διασποράς που θα εκφράζεται με την ίδια μονάδα μέτρησης του χαρακτηριστικού, όπως ακριβώς είναι και όλα τα άλλα μέτρα θέσης, που εξετάσαμε έως τώρα. Η ποσότητα αυτή λέγεται τυπική απόκλιση (standard deviation), συμβολίζεται με s και δίνεται από τη σχέση:

Εικόνα

Η τυπική απόκλιση για το ύψος των μαθητών του πίνακα 4 είναι από το προηγούμενο παράδειγμα s = √53,4 = 7,3 cm αν αυτή υπολογιστεί από τα ομαδοποιημένα δεδομένα του πίνακα 9, ή s = √50,9 = 7,13 cm, αν υπολογιστεί από τα μη ομαδοποιημένα δεδομένα του πίνακα 8.
Αξίζει να σημειωθεί ότι αν η καμπύλη συχνοτήτων για το χαρακτηριστικό που εξετάζουμε είναι κανονική ή περίπου κανονική, τότε η τυπική απόκλιση s έχει τις παρακάτω ιδιότητες:

Εικόνα

i) το 68% περίπου των παρατηρήσεων βρίσκεται στο διάστημα

Εικόνα

ii) το 95% περίπου των παρατηρήσεων βρίσκεται στο διάστημα

Εικόνα

iii) το 99,7% περίπου των παρατηρήσεων βρίσκεται στο διάστημα

Εικόνα

iv) το εύρος ισούται περίπου με έξι τυπικές αποκλίσεις, δηλαδή R ≈ 6s.

Συντελεστής Mεταβολής (CV)

Έστω ότι από ένα δείγμα είκοσι μαθητών της Α΄ Γυμνασίου βρήκαμε μέσο βάρος Εικόνα και τυπική απόκλιση sA = 6 kgr, ενώ από ένα δεύτερο δείγμα τριάντα μαθητών της Γ' Λυκείου βρήκαμε μέσο βάρος Εικόνα και τυπική απόκλιση sB = 6 kgr. Όπως αντιλαμβανόμαστε, είναι λάθος να πούμε ότι το βάρος των μαθητών του Λυκείου έχει τον ίδιο βαθμό μεταβλητότητας με το βάρος των μαθητών του Γυμνασίου, καθόσον η βαρύτητα που έχουν τα 6 kgr στο μέσο βάρος των 40 kgr είναι διαφορετική από αυτήν που έχουν στο μέσο βάρος των 75 kgr.
Ακόμη, ας υποθέσουμε ότι ο μέσος μισθός των υπαλλήλων μιας εταιρείας Α είναι Εικόνα με τυπική απόκλιση sA = 42.000 δρχ., ενώ για τους υπαλλήλους μιας εταιρείας Β είναι Εικόνα με τυπική απόκλιση sB = $350. Στην περίπτωση αυτή έχουμε διαφορετικές μονάδες μέτρησης του μισθού, επομένως οι διασπορές των παρατηρήσεων δεν είναι άμεσα συγκρίσιμες.
Ένα μέτρο με το οποίο μπορούμε να ξεπεράσουμε τις παραπάνω δυσκολίες και το οποίο μας βοηθά στη σύγκριση ομάδων τιμών, που είτε εκφράζονται σε διαφορετικές μονάδες μέτρησης είτε εκφράζονται στην ίδια μονάδα μέτρησης, αλλά έχουν σημαντικά διαφορετικές μέσες τιμές, είναι ο συντελεστής μεταβολής ή συντελεστής μεταβλητότητας (coefficient of variation), ο οποίος ορίζεται από το λόγο:

Εικόνα

Ο συντελεστής μεταβολής εκφράζεται επί τοις εκατό, είναι συνεπώς ανεξάρτητος από τις μονάδες μέτρησης και παριστάνει ένα μέτρο σχετικής διασποράς των τιμών και όχι της απόλυτης διασποράς, όπως έχουμε δει έως τώρα. Εκφράζει, δηλαδή, τη μεταβλητότητα των δεδομένων απαλλαγμένη από την επίδραση της μέσης τιμής. Για το πρώτο παράδειγμα του βάρους έχουμε συντελεστή μεταβολής για τις δύο ομάδες μαθητών:

Εικόνα

δηλαδή, ο βαθμός διασποράς του βάρους των μαθητών Γυμνασίου είναι μεγαλύτερος από το βαθμό διασποράς του βάρους των μαθητών Λυκείου (για τα συγκεκριμένα δείγματα).
Ανάλογα συμπεράσματα βγάζουμε και για το δεύτερο παράδειγμα, όπου βρίσκουμε CVA = 12% και CVB = 25%. Παρ’ όλο που η τυπική απόκλιση των μισθών στην εταιρεία Α είναι μεγαλύτερη από την τυπική απόκλιση στην εταιρεία Β, ο συντελεστής μεταβολής δίνει μεγαλύτερη σχετική διασπορά στην εταιρεία Β. Αυτό μεταφράζεται στο να λέμε ότι έχουμε μεγαλύτερη ομοιογένεια μισθών στην εταιρεία Α παρά στη Β.
Γενικά δεχόμαστε ότι ένα δείγμα τιμών μιας μεταβλητής θα είναι ομοιογενές, εάν ο συντελεστής μεταβολής δεν ξεπερνά το 10%.

ΕΦΑΡΜΟΓΕΣ

xi νi
50
55
60
65
70
75
80
 4
 6
 8
12
14
10
 6

1. Ο διπλανός πίνακας συχνοτήτων δίνει την κατανομή του χρόνου Χ (σε sec) 60 μαθητών
που χρειάστηκαν, για να τρέξουν μια δεδομένη απόσταση. Να υπολογιστούν:

α) ο μέσος, ο διάμεσος και ο επικρατέστερος χρόνος για την κάλυψη της συγκεκριμένης απόστασης,
β) η τυπική απόκλιση,
γ) σε πόσο χρόνο από της στιγμή της εκκίνησης κάλυψε την απόσταση το 25% των μαθητών.

 

 

ΛΥΣΗ

α)
  • Για τον υπολογισμό της μέσης τιμής συμπληρώνουμε τις τρεις πρώτες στήλες του παρακάτω πίνακα:
xi vi xivi Εικόνα
50
55
60
65
70
75
80
4
6
8
12
14
10
6
200
330
480
780
980
750
480
10000
18150
28800
50700
68600
56250
38400
Σύνολο ν = 60 Σxivi = 4000 Εικόνα = 270900

Επομένως, ο μέσος χρόνος για την κάλυψη της συγκεκριμένης απόστασης είναι:

Εικόνα

  • Έχουμε ν = 60 παρατηρήσεις σε αύξουσα σειρά, άρα η διάμεσος είναι ο μέσος όρος της 30ής και 31ης παρατήρησης, δηλαδή ο μέσος όρος των παρατηρήσεων 65 και 70, άρα Εικόνα
  • Η επικρατούσα τιμή είναι η τιμή με τη μεγαλύτερη συχνότητα, άρα M0 = 70 sec.

β) Για τον υπολογισμό της τυπικής απόκλισης είναι προτιμότερο να εφαρμόσουμε τη σχέση (4), μιας και η μέση τιμή δεν είναι ακέραιος αριθμός. Με βάση τον παραπάνω πίνακα η διακύμανση της μεταβλητής Χ είναι:

Εικόνα

και η τυπική απόκλιση s = √70,56 = 8,4 sec.

γ) Θέλουμε να υπολογίσουμε το πρώτο τεταρτημόριο, Q1. Αριστερά της διαμέσου δ = 67,5 έχουμε 30 παρατηρήσεις. Η διάμεσος αυτών των 30 πρώτων παρατηρήσεων είναι το ημιάθροισμα της 15ης και 16ης παρατήρησης, δηλαδή Q1 = (60 + 60) / 2 = 60 sec. Δηλαδή, ύστερα από μία ώρα από τη στιγμή της εκκίνησης το 25% των μαθητών κάλυψαν τη συγκεκριμένη απόσταση.

2. Να αποδειχτεί ότι η συνάρτηση

Εικόνα

γίνεται ελάχιστη, όταν Εικόνα

ΛΥΣΗ

Λαμβάνοντας την πρώτη παράγωγο της f(λ), βρίσκουμε

f'(λ) = -2(x1 - λ) - 2(x2 - λ)... - 2(xν - λ).

Έχουμε διαδοχικά:

Εικόνα

Η δεύτερη παράγωγος της της f(λ) είναι:

Εικόνα

και επειδή Εικόνα συνεπάγεται ότι για Εικόνα η f(λ) γίνεται ελάχιστη.

3. Έστω x1, x2 ,..., xv ν παρατηρήσεις με μέση τιμή Εικόνα και τυπική απόκλιση sx.

α) Αν y1, y2,..., yv είναι οι παρατηρήσεις που προκύπτουν αν προσθέσουμε σε καθεμιά από τις x1, x2,..., xv μια σταθερά c, να δειχτεί ότι:
Εικόνα
β) Αν y1, y2,..., yv είναι οι παρατηρήσεις που προκύπτουν αν πολλαπλασιάσουμε σε καθεμιά από τις x1, x2,..., xv μια σταθερά c, να αποδειχτεί ότι:

Εικόνα

 

 

ΑΠΟΔΕΙΞΗ

α) Έχουμε yi = xi + c, i = 1,2,...,v, επομένως:


i)
Εικόνα


ii)
Εικόνα

Άρα και sy = sx.

β) Έχουμε yi = cxi, i = 1,2,...,v, επομένως:

i) Εικόνα

ii)
Εικόνα

Άρα και sy = |c|sx.

Ασκήσεις

Α' ΟΜΑΔΑΣ
1.

Έξι διαδοχικοί άρτιοι αριθμοί έχουν μέση τιμή 15. Να βρείτε τους αριθμούς και τη διάμεσό τους.

2.

Έχουμε ένα δείγμα ν = 10 παρατηρήσεων, όπου κάθε παρατήρηση μπορεί να είναι 1, 2 ή 3. Είναι δυνατό η μέση τιμή να είναι α) 1 β) 4 γ) 1,8;

3. Ένας επενδυτής επένδυσε το ίδιο ποσό χρημάτων σε 8 διαφορετικές μετοχές στο χρηματιστήριο. Κατά τη διάρκεια του περασμένου έτους οι μετοχές είχαν τις παρακάτω εκατοστιαίες μεταβολές στην αξία τους:
5, 16, -10, 0, 27, 14, -20, 34. Να βρεθεί η μέση εκατοστιαία απόδοση της επένδυσης.
4.

Το μέσο ύψος 9 καλαθοσφαιριστών μιας ομάδας είναι 205 cm.
α) Για να “ψηλώσει” την ομάδα ο προπονητής πήρε έναν ακόμη παίκτη με ύψος 216 cm. Ποιο είναι το μέσο ύψος της ομάδας τώρα;
β) Εάν ήθελε να “ψηλώσει” την ομάδα στα 208 cm, πόσο ύψος έπρεπε να έχει ο καλαθοσφαιριστής που πήρε;

5.

Η μέση ηλικία 18 αγοριών και 12 κοριτσιών μιας τάξης είναι 15,4 χρόνια. Εάν η μέση ηλικία των αγοριών είναι 15,8 χρόνια, να βρείτε τη μέση ηλικία των κοριτσιών.

6.

Σε μια κάλπη υπάρχουν άσπρες, μαύρες, κόκκινες και πράσινες μπάλες σε αναλογία 10%, 20%, 30% και 40% αντίστοιχα. Μια άσπρη μπάλα έχει βάρος 10 gr., μια μαύρη 11 gr, μια κόκκινη 12 gr και μια πράσινη 13 gr. Nα βρείτε τη μέση τιμή, τη διάμεσο και την επικρατούσα τιμή του βάρους όλων των μπαλών, αν ξέρουμε ότι στην κάλπη υπάρχουν α) 10 μπάλες, β) 20 μπάλες γ) δε γνωρίζουμε πόσες μπάλες υπάρχουν στην κάλπη.

7.

Η επίδοση ενός μαθητή σε πέντε μαθήματα είναι 12, 10, 16, 18, 14.
α) Να βρείτε τη μέση επίδοση.
β) Αν τα μαθήματα είχαν συντελεστές στάθμισης 2, 3, 1, 1 και 3, ποια θα ήταν η μέση επίδοση; Σε ποια μαθήματα έπρεπε να δώσει ιδιαίτερη προσοχή ο μαθητής;

8.

Ένα εργοστάσιο απασχολεί 5 υπαλλήλους στο Τμήμα Α με μέσο (μηνιαίο) μισθό 249 χιλ. δρχ., 6 υπαλλήλους στο Τμήμα Β με μέσο μισθό 280 χιλ. δρχ. και 4 υπαλλήλους στο Τμήμα Γ με μέσο μισθό 360 χιλ. δρχ. Ποιος είναι ο μέσος μισθός όλων των υπαλλήλων;

9.

Η μέση τιμή και η διάμεσος πέντε αριθμών είναι 6. Οι τρεις από αυτούς είναι οι 5, 8, 9. Να βρείτε τους άλλους δύο.

10.
xi νi
2
3
4
5
6
7
1
3
1
2
;
1

Στο διπλανό πίνακα δίνονται οι τιμές μιας μεταβλητής Χ με τις αντίστοιχες συχνότητές τους. Η πέμπτη συχνότητα χάθηκε! Μπορείτε να την “ανακαλύψετε”, εάν γνωρίζετε ότι
α) η μέση τιμή είναι 4,4,
β) η διάμεσος είναι το 4,5,
γ) υπάρχουν δύο επικρατούσες τιμές;

11. Για την κατανομή του βαθμού των Μαθηματικών της Β' τάξης των 40 μαθητών και μαθητριών της Γ΄ Λυκείου του πίνακα 4 να βρείτε:
α) τη μέση τιμή,
β) τη διάμεσο,
γ) την επικρατούσα τιμή,
δ) το πρώτο και το τρίτο τεταρτημόριο και να ερμηνεύσετε τα αποτελέσματα.
12.

Ο παρακάτω πίνακας δίνει τον αριθμό των επισκέψεων 40 μαθητών σε διάφορα μουσεία της χώρας κατά τη διάρκεια ενός έτους.

Επισκέψεις Συχνότητα
[0-2)
2-4
4-6
6-8
8-10
8
12
10
6
4

  Να υπολογιστούν:
  α) η μέση τιμή,
  β) η επικρατούσα τιμή,
  γ) η διάμεσος,
  δ) το πρώτο και τρίτο τεταρτημόριο.

13.

Το μέσο ύψος των 30 μαθητών και μαθητριών μιας τάξης είναι 170 cm.
Ποιο θα είναι το μέσο ύψος της τάξης:
α) αν φύγει ένας μαθητής με ύψος 180 cm,
β) αν έρθει μια νέα μαθήτρια με ύψος 170 cm,
γ) αν φύγει ένας μαθητής με ύψος 180 cm και έλθει μια μαθήτρια με ύψος 170 cm;

14.

Καθεμία από τις παρακάτω λίστες δεδομένων έχουν μέση τιμή 50.
α) Σε ποια λίστα υπάρχει (i) μεγαλύτερη (ii) μικρότερη διασπορά παρατηρήσεων; (Να μη γίνουν πράξεις).

0, 20, 40, 50, 60, 80, 100
0, 48, 49, 50, 51, 52, 100
0, 1, 2, 50, 98, 99, 100.

β) Μπορεί να χρησιμοποιηθεί για σύγκριση των δεδομένων αυτών το εύρος;

15.

Η βαθμολογία δέκα μαθητών σε ένα διαγώνισμα ήταν: 7, 11, 10, 13, 15, 3, 12, 11, 4, 14. Να υπολογίσετε:
α) τη μέση τιμή, τηνεπικρατούσα τιμή και τη διάμεσο,
β) τα Q1, και Q3,
γ) το εύρος, την τυπική απόκλιση και το συντελεστή μεταβολής.

16.

Να υπολογιστεί η τυπική απόκλιση των δεδομένων της άσκησης 12.

17. Ο μέσος χρόνος που χρειάζονται οι μαθητές ενός σχολείου να πάνε το πρωί από το σπίτι τους μέχρι το σχολείο είναι 10 λεπτά με τυπική απόκλιση 2 λεπτά. Υποθέτοντας ότι έχουμε περίπου κανονική κατανομή, να βρείτε κατά προσέγγιση το ποσοστό των μαθητών που χρειάζονται:
α) κάτω από 8 λεπτά    γ) το πολύ 10 λεπτά
β) πάνω από 14 λεπτά    δ) από 6 έως 12 λεπτά για να πάνε στο σχολείο τους.
18.

Να υπολογίσετε τη μέση τιμή και τη διάμεσο για τα παρακάτω δείγματα δεδομένων και να σχολιάσετε τα αποτελέσματα:
α) 1 2 6    β) 2 4 12
γ) 11 12 16    δ) 12 14 22.

19.

Να υπολογίσετε τη διακύμανση και την τυπική απόκλιση για καθεμιά από τις παρακάτω λίστες δεδομένων. Συγκρίνοντας τα δεδομένα και τα αποτελέσματα τι συμπέρασμα βγάζετε;
α) 1, 3, 4, 5, 7    β) 3, 9, 12, 15, 21
γ) 6, 8, 9, 10, 12    δ) -1, -3, -4, -5, -7.

20.

Οι μαθητές του Γ2 ξόδεψαν σε μια μέρα κατά μέσο όρο 625 δρχ. αγοράζοντας διάφορα τρόφιμα από το κυλικείο του σχολείου. Εάν ο συντελεστής μεταβολής είναι 27,2%, να βρείτε την τυπική απόκλιση. Εάν επιπλέον γνωρίζετε ότι το Εικόνα = 11.746.700, πόσοι είναι οι μαθητές του Γ2;

Β' ΟΜΑΔΑΣ
1.

Η βαθμολογία 50 μαθητών στην Ιστορία κυμαίνεται από 10 μέχρι 20 (κανένας δεν είναι κάτω από τη βάση). Γνωρίζουμε επίσης ότι πέντε μαθητές έχουν βαθμό κάτω από 12, δεκαπέντε κάτω από 14, πέντε μεγαλύτερο ή ίσο του 18 και δεκαπέντε μεγαλύτερο ή ίσο του 16.
α) Να παρασταθούν τα δεδομένα σε έναν πίνακα συχνοτήτων.
β) Να υπολογίσετε: i) τη μέση τιμή, ii) τη διάμεσο.
γ) Εάν στο 5% των μαθητών με την καλύτερη επίδοση δοθεί έπαινος, πόσο βαθμό πρέπει να έχει κάποιος μαθητής για να πάρει έπαινο;

2.

Η μέση τιμή και η διακύμανση των 5 τιμών ενός δείγματος είναι Εικόνα = 4 και s2 = 10, αντίστοιχα. Εάν, για τις τέσσερις τιμές ισχύει Εικόνα να βρεθεί η πέμπτη τιμή.

3. Ένας μαθητής αγόρασε 10 βιβλία που κόστιζαν χωρίς ΦΠΑ 5, 3, 2, 6, 7, 2, 3, 9, 3, 4 χιλ. δρχ., αντίστοιχα.
α) Ποια είναι η μέση, η διάμεση και η επικρατούσα αξία (τιμή) των βιβλίων;
β) Πώς μεταβάλλονται τα ευρήματα του ερωτηματος (α), αν προσθέσουμε και το ΦΠΑ, που είναι 18%;
γ) Αν ο μαθητής πληρώσει επί πλέον 100 δρχ. (χωρίς ΦΠΑ) για κάθε βιβλίο που θα “ντύσει”, πώς διαμορφώνονται τώρα τα ευρήματα του ερωτήματος (β);
4.

Να δείξετε ότι εάν από όλες τις τιμές 0, 2, 4, 6, 8, 10 και 12 ενός δείγματος αφαιρέσουμε τη μέση τιμή τους και διαιρέσουμε με την τυπική τους απόκλιση, τότε εκείνες μετασχηματίζονται σε άλλες τιμές με μέση τιμή 0 και διασπορά 1. Να δείξετε ότι η ιδιότητα αυτή ισχύει για όλα τα δυνατά δείγματα.

5.

Στο διπλανό σχήμα φαίνονται τα ύψη των πωλήσεων σε εκατομμύρια δρχ. που έγιναν από τους πωλητές μιας εταιρείας κατά τη διάρκεια ενός έτους.

Εικόνα

α) Πόσοι είναι οι πωλητές;
β) Πόσοι πωλητές έκαναν πωλήσεις πάνω από 5 εκατομμύρια δρχ.;
γ) Να βρεθεί η επικρατούσα τιμή των πωλήσεων.
δ) Να κατασκευάσετε τον πίνακα συχνοτήτων και να υπολογίσετε πωλήσεις σε εκατομ. δρχ. τη μέση τιμή και τη διακύμανση.
ε) Από το πολύγωνο αθροιστικών σχετικών συχνοτήτων να εκτιμήσετε τα τρία τεταρτημόρια Q1, Q2, Q3.

6.
Ηλικία
(σε έτη)
Συχνότητα
(σε χιλιάδες)
0-20
20-40
40-60
60-80
80-100
12
14
20
10
4

Στο διπλανό πίνακα δίνεται η κατανομή της ηλικίας των ατόμων μιας πόλης. Να υπολογίσετε:
α) Την τυπική απόκλιση και το συντελεστή μεταβολής.
β) Το ενδοτεταρτημοριακό εύρος.

7.

Θάνατοι
Ηλικία Άνδρες Γυναίκες
50-54
55-59
60-64
65-69
70-74
75-79
80-84
85-89
10
10
17
36
44
73
117
123
7
4
21
57
61
109
162
195

Από τη Στατιστική της Φυσικής Κίνησης Πληθυσμού της Ελλάδας οι θάνατοι λόγω υπερτασικής νόσου το 1995 δίνονται στον διπλανό πίνακα (ΕΣΥΕ):
Να κατασκευάσετε στο ίδιο σχήμα τα πολύγωνα αθροιστικών σχετικών συχνοτήτων για την ηλικία ανδρών και γυναικών, αντίστοιχα, που πέθαναν από υπερτασική νόσο το 1995, και στη συνέχεια να τα συγκρίνετε.