Μαθηματικά και Στοιχεία Στατιστικής (Γ Λυκείου Γενικής Παιδείας) - Βιβλίο Μαθητή

3.3 ΣΥΝΔΥΑΣΤΙΚΗ

Είδαμε ότι όταν ο δειγματικός χώρος Ω ενός πειράματος τύχης έχει πεπερασμένο πλήθος απλών ενδεχομένων και τα απλά αυτά ενδεχόμενα είναι ισοπίθανα, τότε η πιθανότητα ενός ενδεχομένου Α είναι:

Εικόνα

Επομένως, όταν έχουμε ισοπίθανα απλά ενδεχόμενα, ο υπολογισμός της P(A) ανάγεται στην απαρίθμηση των στοιχείων των συνόλων Ω και Α.
Σε πολλά προβλήματα όμως, η απευθείας απαρίθμηση των στοιχείων του δειγματικού χώρου και των ενδεχομένων που μας ενδιαφέρουν είναι δύσκολη ή και πρακτικά αδύνατη. Στις περιπτώσεις αυτές η απαρίθμηση διευκολύνεται με τις επόμενες μεθόδους της Συνδυαστικής η οποία είναι ένας από τους βασικούς κλάδους των Μαθηματικών.

Βασική Αρχή Απαρίθμησης

Ας υποθέσουμε ότι κάποιος επιθυμεί να ταξιδέψει από τη Θεσσαλονίκη, μέσω Αθηνών, στο Ηράκλειο Κρήτης χωρίς να χρησιμοποιήσει το ΙΧ αυτοκίνητό του. Από τη Θεσσαλονίκη μπορεί να ταξιδέψει στην Αθήνα με τρένο (Τ) ή λεωφορείο (Λ) ή αεροπλάνο (Α) ή πλοίο (Π) και από την Αθήνα στο Ηράκλειο με πλοίο ή αεροπλάνο. Ενδιαφερόμαστε για τους διαφορετικούς τρόπους ως προς το ταξιδιωτικό μέσο με τους οποίους μπορεί να πάει κάποιος από τη Θεσσαλονίκη στο Ηράκλειο.
Το ταξίδι λοιπόν γίνεται σε δύο φάσεις. Η πρώτη φάση είναι η μετάβαση από τη Θεσσαλονίκη στην Αθήνα και η δεύτερη από την Αθήνα στο Ηράκλειο. Η πρώτη φάση του ταξιδιού μπορεί να γίνει με 4 τρόπους και η δεύτερη με 2 τρόπους. Σε κάθε τρόπο της πρώτης φάσης αντιστοιχούν οι δύο τρόποι της δεύτερης φάσης. Άρα το ταξίδι Θεσσαλονίκη-Ηράκλειο μπορεί να γίνει με 4 · 2 = 8 διαφορετικούς τρόπους.
Τα παραπάνω φαίνονται παραστατικά στο επόμενο δεντροδιάγραμμα:

Εικόνα

Γενικά ισχύει η επόμενη βασική αρχή απαρίθμησης:

Έστω ότι μια διαδικασία μπορεί να πραγματοποιηθεί σε ν διαδοχικές φάσεις φ1, φ2 ,..., φν. Αν η φάση φ1 μπορεί να πραγματοποιηθεί με κ1 τρόπους και για καθέναν από αυτούς η φάση φ2 μπορεί να πραγματοποιηθεί με κ2 τρόπους ,…, και για καθέναν από όλους αυτούς τους τρόπους η φάση φν μπορεί να πραγματοποιηθεί με κν τρόπους, τότε η διαδικασία αυτή μπορεί να πραγματοποιηθεί με κ1 · κ2 ·...· κν τρόπους.


Επομένως, αν με μια διαδικασία η οποία πραγματοποιείται όπως ορίστηκε προηγουμένως, στην πρώτη φάση συμπληρώνεται το πρώτο στοιχείο μιας διατεταγμένης ν-άδας με κ1 τρόπους, στη δεύτερη φάση το δεύτερο στοιχείο με κ2 τρόπους ,…, στη ν-οστή φάσητο ν-στό στοιχείο με κν, τότε σύμφωνα με τη βασική αρχή απαρίθμησης μπορούν να σχηματισθούν κ1 · κ2 ·...· κν διαφορετικές διατεταγμένες ν-άδες.

Διατάξεις

Ας υποθέσουμε ότι μία επιτροπή με 5 μαθητές συνεδριάζει για να εκλέξει πρόεδρο, γραμματέα, και ταμία. Αν θέλουμε να βρούμε το πλήθος των διαφορετικών τριάδων που θα εκλεγούν για τις τρεις θέσεις σκεπτόμαστε ως εξής:

Εικόνα

Η διαδικασία εκλογής μπορεί να χωριστεί σε τρεις φάσεις: 1η φάση εκλογή προέδρου, 2η φάση εκλογή γραμματέα και 3η φάση εκλογή ταμία. Η 1η φάση μπορεί να γίνει με 5 τρόπους, όσα είναι και τα μέλη της επιτροπής. Η 2η φάση μπορεί να γίνει με 4 τρόπους, όσα είναι και τα μέλη της επιτροπής που απέμειναν ύστερα από την εκλογή του προέδρου. Η 3η φάση μπορεί να γίνει με 3 τρόπους, όσα είναι και τα μέλη της επιτροπής που απέμειναν ύστερα και από την εκλογή του ταμία. Επομένως, σύμφωνα με τη βασική αρχή απαρίθμησης, το πλήθος των διαφορετικών δυνατών τριάδων είναι 5 · 4 · 3 = 60. Καθεμιά από τις παραπάνω τριάδες λέγεται διάταξη των 5 ανά 3.

Γενικά:
Διάταξη των ν στοιχείων ενός συνόλου Α ανά κ, με κν, λέγεται καθένας από τους διαφορετικούς τρόπους με τους οποίους μπορούμε να πάρουμε κ διαφορετικά στοιχεία του Α και να τα βάλουμε σε μια σειρά.
Το πλήθος των διατάξεων των ν ανά κ συμβολίζεται με Εικόνα και αν εργαστούμε όπως στο προηγούμενο παράδειγμα, βρίσκουμε ότι:

Εικόνα

Σύμφωνα με τον παραπάνω ορισμό δύο διατάξεις των ν ανά κ είναι διαφορετικές αν διαφέρουν ως προς ένα τουλάχιστον στοιχείο ή ως προς τη θέση που κατέχουν τα στοιχεία. Για παράδειγμα, οι διατάξεις (1, 2, 3), (1, 4, 3) και (3, 2, 1) είναι διαφορετικές μεταξύ τους.
Στην περίπτωση που πάρουμε και τα ν στοιχεία ενός συνόλου Α και τα βάλουμε σε μια σειρά, τότε έχουμε μια διάταξη των ν στοιχείων ανά ν η οποία λέγεται μετάθεση των ν στοιχείων. Το πλήθος Εικόνα των μεταθέσεων των ν στοιχείων συμβολίζεται με Mν και σύμφωνα με τον τύπο (1) είναι

Mν= ν(ν - 1)(ν - 2)...3 · 2 · 1.

Το γινόμενο 1 · 2 · 3...(ν - 2)(ν - 1)ν συμβολίζεται με ν! και διαβάζεται ν παραγοντικό. Επομένως

Εικόνα

Έτσι, αν στο προηγούμενο παράδειγμα θέλουμε να βάλουμε τους 5 μαθητές σε μια σειρά, τότε υπάρχουν M5 = 1 · 2 · 3 · 4 · 5 = 120 διαφορετικοί τρόποι με τους οποίους μπορούμε να τους τοποθετήσουμε.
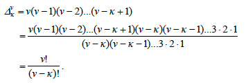
Αν χρησιμοποιήσουμε το σύμβολο του παραγοντικού για να εκφράσουμε το πλήθος των διατάξεων των ν ανά κ με κ < ν έχουμε:

Εικόνα


Επομένως

Εικόνα

Αν τώρα θέλουμε ο τύπος (3) να ισχύει και για κ = ν, επειδή Εικόνα = Mν = ν!, πρέπει Εικόνα Είναι λοιπόν λογικό να ορίσουμε 0!=1.

Συνδυασμοί

Ας υποθέσουμε ότι από 5 άτομα Α, Β, Γ, Δ και Ε θέλουμε να επιλέξουμε μια ομάδα 3 ατόμων, χωρίς να μας ενδιαφέρει η κατάταξη μέσα σ’ αυτήν την ομάδα. Αν x είναι ο αριθμός των διαφορετικών ομάδων που μπορούμε να επιλέξουμε, τότε από κάθε τέτοια ομάδα μπορούν να προκύψουν 3! διατεταγμένες ομάδες. Επομένως, ο συνολικός αριθμός των διατεταγμένων ομάδων θα είναι 3!x. Ο αριθμός αυτός όμως είναι το πλήθος των διατάξεων Εικόνα.

Επομένως, θα είναι Εικόνα = 3!x, οπότε Εικόνα

Πιο συγκεκριμένα οι ομάδες αυτές θα είναι:
{Α, Β, Γ}, {Α, Β, Δ}, {Α, Β, Ε}, {Α, Γ, Δ}, {Α, Γ, Ε}, {Α, Δ, Ε}, {Β, Γ, Δ}, {Β, Γ, Ε}, {Β, Δ, Ε}, και {Γ, Δ, Ε}. Κάθε τέτοια επιλογή λέγεται συνδυασμός των 5 ανά 3.

Γενικά:
Συνδυασμός των ν στοιχείων ενός συνόλου Α ανά κ λέγεται κάθε υποσύνολο του Α με κ στοιχεία.

Το πλήθος των συνδυασμών των ν στοιχείων ανά κ συμβολίζεται με Εικόνα και αν εργαστούμε όπως στο προηγούμενο παράδειγμα, βρίσκουμε ότι

Εικόνα

Επομένως

Εικόνα

Σύμφωνα με τον παραπάνω ορισμό δύο συνδυασμοί των ν ανά κ είναι διαφορετικοί αν διαφέρουν κατά ένα τουλάχιστον στοιχείο.

ΕΦΑΡΜΟΓΕΣ

1. Στο τυχερό παιχνίδι του ΠΡΟΠΟ συμπληρώνουμε καθεμιά από τις 13 θέσεις με ένα από τα στοιχεία 1, 2, Χ που αντιστοιχούν σε πρόβλεψη: νίκης της γηπεδούχου ομάδας (1), νίκης της φιλοξενούμενης ομάδας (2), ισοπαλίας (Χ).
i) Να προσδιοριστεί το πλήθος των διαφορετικών στηλών που μπορούμε να συμπληρώσουμε.
ii) Αν συμπληρώσουμε τυχαία μια στήλη ΠΡΟΠΟ, να βρεθούν οι πιθανότητες των ενδεχομένων
Α: “να πιάσουμε ακριβώς 12 αγώνες”.
Β: “να πιάσουμε ακριβώς 11 αγώνες”.

 

ΛΥΣΗ

i) Μια στήλη ΠΡΟΠΟ είναι μια 13-άδα, στην οποία κάθε θέση μπορεί να συμπληρωθεί με τρεις διαφορετικούς τρόπους. Επομένως, σύμφωνα με τη βασική αρχή απαρίθμησης, υπάρχουν συνολικά Εικόνα διαφορετικές στήλες.

ii) • Ευνοϊκή περίπτωση για το Α είναι κάθε στήλη στην οποία καθεμιά από τις 12 θέσεις συμπληρώνεται με το σωστό αποτέλεσμα και η εναπομένουσα θέση συμπληρώνεται με λαθεμένη πρόβλεψη. Υπάρχουν Εικόνα για να επιλέξουμε τους 12 αγώνες που συμπληρώνονται με το σωστό αποτέλεσμα, και 2 τρόποι για να συμπληρώσουμε τον αγώνα που απομένει με λάθος πρόβλεψη. Επομένως, το πλήθος των ευνοϊκών περιπτώσεων για το Α είναι Εικόνα Άρα, η ζητούμενη πιθανότητα είναι ίση με

Εικόνα

• Ευνοϊκή περίπτωση για το Β είναι κάθε στήλη στην οποία καθεμιά από τις 11 θέσεις συμπληρώνεται με το σωστό αποτέλεσμα και καθεμιά από τις υπόλοιπες 2 θέσεις συμπληρώνεται με μια λαθεμένη πρόβλεψη. Υπάρχουν Εικόνα τρόποι για να επιλέξουμε τις 11 θέσεις με το σωστό αποτέλεσμα και 2 τρόποι για να συμπληρώσουμε καθεμιά από τις υπόλοιπες 2 θέσεις με λαθεμένη πρόβλεψη. Επομένως, το πλήθος των ευνοϊκών περιπτώσεων για το Β είναι Εικόνα Άρα, η ζητούμενη πιθανότητα είναι ίση με

Εικόνα

2. Στο τυχερό παιχνίδι του ΛΟΤΤΟ “6 από 49”, αν παίξουμε μια στήλη, ποια είναι η πιθανότητα του ενδεχομένου Α: “να πετύχουμε 4 ακριβώς σωστά νούμερα”;

 

ΛΥΣΗ

Επειδή τελικά δεν έχει σημασία η σειρά κλήρωσης του κάθε αριθμού, οι δυνατές περιπτώσεις του πειράματος είναι τόσες όσοι και οι συνδυασμοί των 49 ανά 6, δηλαδή Εικόνα

Για να βρούμε το πλήθος των ευνοϊκών περιπτώσεων σκεφτόμαστε ως εξής: Υπάρχουν Εικόνατρόποι για να επιλέξουμε 4 σωστά νούμερα από τα 6 που κληρώθηκαν. Στη συνέχεια μένουν Εικόνα τρόποι για να επιλέξουμε τα 2 λάθος νούμερα. Επομένως, το πλήθος των ευνοϊκών περιπτώσεων είναι Εικόνα Άρα

Εικόνα

3. Ποια είναι η πιθανότητα μεταξύ κ μαθητών (κ ≤ 365) δύο τουλάχιστον να έχουν γενέθλια την ίδια μέρα; (Ο χρόνος υπολογίζεται με 365 μέρες).

 

ΛΥΣΗ

Αν Α είναι το ενδεχόμενο “δύο τουλάχιστον μαθητές να έχουν γενέθλια την ίδια μέρα”, τότε A' είναι το ενδεχόμενο “οι κ μαθητές να έχουν γενέθλια σε διαφορετικές μέρες” και ισχύει P(A) = 1 - P(A'). Επομένως ο υπολογισμός της P(A) ανάγεται στον υπολογισμό της P(A'). Το πλήθος των δυνατών περιπτώσεων του πειράματος είναι N(Ω) = 365 · 365 · 365 ··· 365 = 365κ, αφού ένας μαθητής μπορεί να έχει γεννηθεί σε μια από τις 365 μέρες του έτους. Οι ευνοϊκές περιπτώσεις για το A' είναι 365 · (365 - 1) · (365 - 2)...[(365 - (κ - 1)], αφού οι κ μαθητές πρέπει να έχουν γεννηθεί σε διαφορετικές μέρες του έτους. Επομένως,

Εικόνα

Άρα

Εικόνα

Οι τιμές του P(A) για μερικές τιμές του κ δίνονται στον επόμενο πίνακα:

Εικόνα

Παρατηρούμε ότι ήδη μεταξύ 23 ατόμων η πιθανότητα δύο άτομα να έχουν γενέθλια την ίδια μέρα είναι μεγαλύτερη από 50%, ενώ μεταξύ 70 ατόμων το ενδεχόμενο αυτό είναι σχεδόν βέβαιο.

Ασκήσεις

Α' ΟΜΑΔΑΣ
1.

Αν κάποιος διαθέτει 3 σακάκια, 4 παντελόνια, 5 πουκάμισα, 10 ζευγάρια κάλτσες και 2 ζευγάρια παπούτσια, με πόσους τρόπους μπορεί να ντυθεί, φορώντας από όλα τα είδη; Ποια είναι η πιθανότητα να φοράει ένα ορισμένο σακάκι;

2.

Πόσες πινακίδες κυκλοφορίας μπορούμε να κατασκευάσουμε που να περιέχουν στη σειρά τρία κεφαλαία γράμματα του ελληνικού αλφαβήτου ακολουθούμενα από έναν τετραψήφιο αριθμό; Ποια είναι η πιθανότητα μια τέτοια πινακίδα να αρχίζει με φωνήεν και να τελειώνει σε άρτιο ψηφίο;

3.

Με πόσους διαφορετικούς τρόπους μπορούν να καθίσουν 4 άτομα σε 6 θέσεις μιας σειράς; Ποιά είναι η πιθανότητα η τελευταία θέση να μείνει κενή;

4.

Με πόσους διαφορετικούς τρόπους μπορούν να μπουν σε μια σειρά 4 αγόρια και 3 κορίτσια; Ποια είναι η πιθανότητα να είναι όλα μαζί τα αγόρια και όλα μαζί τα κορίτσια;

5.

Να αποδείξετε ότι Εικόνα

6.

Σε έναν κύκλο δίνονται 8 σημεία A1, A2,..., A8. Πόσα ευθύγραμμα τμήματα ορίζουν τα σημεία αυτά; Ποια είναι η πιθανότητα ένα από τα παραπάνω τμήματα που επιλέγεται τυχαία να μη διέρχεται από το σημείο A1;

Β' ΟΜΑΔΑΣ
1.

Με τα ψηφία 1, 2, 3, 4, 5 φτιάχνουμε τετραψήφιους αριθμούς στους οποίους το κάθε ψηφίο μπορεί να χρησιμοποιηθεί περισσότερο από μια φορά. Αν πάρουμε τυχαία έναν τέτοιο αριθμό, ποια είναι η πιθανότητα να έχει όλα τα ψηφία του διαφορετικά;

2.

Από το σύνολο των μεταθέσεων των στοιχείων 1, 2, 3, …, ν επιλέγουμε τυχαίως μία. Να βρείτε ποια είναι η πιθανότητα να μην αρχίζει από 1.

3.

Δέκα φίλοι, μεταξύ των οποίων ο Κώστας και ο Νίκος, θα καθίσουν τυχαία ο ένας δίπλα στον άλλον. Ποια είναι η πιθανότητα ο Κώστας και ο Νίκος να καθίσουν σε διπλανές θέσεις; Ποια η πιθανότητα να παρεμβάλλονται άλλοι ανάμεσά τους;

4.

Να βρείτε την πιθανότητα του ενδεχομένου τέσσερα άτομα να έχουν γεννηθεί σε τέσσερις διαφορετικές εποχές του έτους.

5.

Από ένα σύλλογο καθηγητών με 7 άνδρες και 6 γυναίκες επιλέγουμε τυχαίως 4 άτομα. Να βρείτε τις πιθανότητες των ενδεχομένων:
i) τα άτομα να είναι γυναίκες
ii) ένα τουλάχιστον να είναι άνδρας
iii) να υπάρχει μία μόνο γυναίκα.

6.

Ένα κουτί περιέχει 20 ηλεκτρικές ασφάλειες, από τις οποίες οι 5 είναι ελαττωματικές. Επιλέγουμε τυχαίως 4 ασφάλειες και τις δοκιμάζουμε. Αν βρεθούν περισσότερες από μία ελαττωματικές, το κουτί επιστρέφεται ως απαράδεκτο. Να βρείτε την πιθανότητα του ενδεχομένου το κουτί να γίνει αποδεκτό.

7.

Δίνονται δύο παράλληλες ευθείες ε1 και ε2. Στην ε1 ορίζουμε 10 σημεία και στην ε2 20 σημεία. Πόσα τρίγωνα ορίζουν τα σημεία αυτά; Αν επιλέξουμε τυχαίως ένα τέτοιο τρίγωνο, ποια είναι η πιθανότητα να έχει μία πλευρά του στην ε1;

8.

Ρίχνουμε ένα νόμισμα ν φορές. Να βρείτε την πιθανότητα του ενδεχομένου να μη φέρουμε σε δύο διαδοχικές ρίψεις ίδιο αποτέλεσμα.

9.

Ο υπάλληλος ενός χώρου στάθμευσης δίνει τυχαία τα τρία κλειδιά αυτοκινήτων στους τρεις κατόχους των αυτοκινήτων αυτών. Να βρείτε τις πιθανότητες των ενδεχομένων:
Α: “Κάθε οδηγός να πάρει το δικό του κλειδί”
Β: “Μόνο ένας οδηγός να πάρει το δικό του κλειδί”
Γ: “Κανένας οδηγός να μην πάρει το δικό του κλειδί”.

10.

Από μια τάξη στην οποία φοιτούν 10 κορίτσια και 12 αγόρια επιλέγονται στην τύχη τρία άτομα για να εκπροσωπήσουν την τάξη. Να υπολογίσετε την πιθανότητα τα επιλεγμένα άτομα να είναι του ίδιου φύλου.

11.

Να βρείτε την πιθανότητα του ενδεχομένου να φέρουμε τουλάχιστον ένα “έξι” σε 4 ρίψεις ενός ζαριού και να τη συγκρίνετε με την πιθανότητα να φέρουμε τουλάχιστον μια φορά “εξάρες” σε 24 ρίψεις δύο ζαριών.